М
Молодежь
К
Компьютеры-и-электроника
Д
Дом-и-сад
С
Стиль-и-уход-за-собой
П
Праздники-и-традиции
Т
Транспорт
П
Путешествия
С
Семейная-жизнь
Ф
Философия-и-религия
Б
Без категории
М
Мир-работы
Х
Хобби-и-рукоделие
И
Искусство-и-развлечения
В
Взаимоотношения
З
Здоровье
К
Кулинария-и-гостеприимство
Ф
Финансы-и-бизнес
П
Питомцы-и-животные
О
Образование
О
Образование-и-коммуникации
ScreamATD
ScreamATD
20.10.2022 04:51 •  Математика

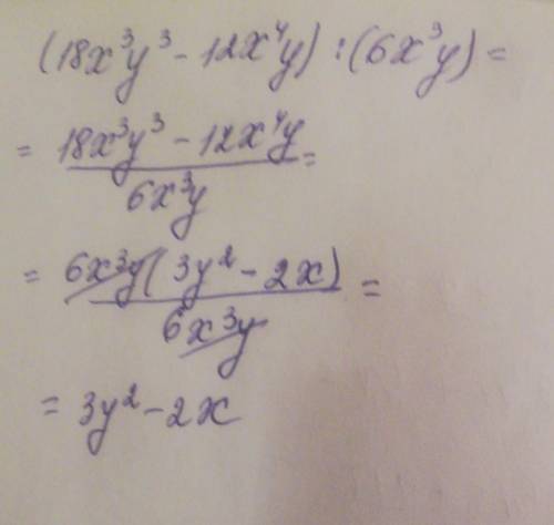
(18x^3*y^3-12x^4*y):(6x^3*y)

👇
Ответ:
love2121
love2121
20.10.2022

Пошаговое объяснение:

(18x^3*y^3-12x^4*y):(6x^3*y)=3у²-2х

4,8(80 оценок)
Ответ:
yanakisleiko
yanakisleiko
20.10.2022

Смотри решение на фото


(18x^3*y^3-12x^4*y):(6x^3*y)
4,6(12 оценок)
Открыть все ответы
Ответ:
1) 64=1*2*2*2*2*2*2
200=1*2*100=1* 2*2*2*5*5
288=1*2*2*2*2*2*3*3
256= 4*64= 2*2*4*16=1*2*2*2*2*2*2*2*2
333=1*3*111=1*3*3*37
8100=1*81*100=1*2*2*3*3*3*3*5*5
4096=1*16*256= 1*2*2*2*2*2*2*2*2*2*2*2*2
2500=1*5*5*10*10=1*2*2*5*5*5*5
888=1*4*222=1*2*2*2*3*3*37
2525=5*5*101
2) Д(89)=1,89 -простое число
Д(123)=1,3,41,123  - составное
Д (279)=1, 3,9,31,93,279 - составное
Д(642) = 1,2,... 642 - составное
Д(601)=1,601- простое
Д(729)= 1,3,...,729 - составное
Д(1571)=1,1571- простое
Д(2563)= 1,11, 2563-составное
Д(7777) =1,7,..., 7777- составное
Д(442233)=1,11,... 442233 - составное
4,7(3 оценок)
Ответ:
lizatim2005
lizatim2005
20.10.2022
1) 17*17=289 (руб.) - заплатил за 17 оловянных солдатиков первый друг.
2) 8*35=280 (руб.) - заплатил за 8 машинок второй друг.
3) 18*18=324 (руб.) - необходимо заплатить за 18 паровозиков третьему другу.
324>300 на 324-300=24 рубля, значит третьем другу не хватит 24 рубля денег, чтобы расплатиться за покупку.
4)  300-289=11 (руб.) - сдача первого друга.
5) 300-280=20 (руб.) - сдача второго друга.
6) 20+11=31 (руб.) - сдача первого и второго друга вместе.
31>24 → значит, он расплатиться, если друзья отдадут ему сдачу. И у друзей ещё останется сдача со всех покупок 31-24=7 рублей.
4,6(60 оценок)
Это интересно:
Новые ответы от MOGZ: Математика
logo
Вход Регистрация
Что ты хочешь узнать?
Спроси Mozg
Открыть лучший ответ