М
Молодежь
К
Компьютеры-и-электроника
Д
Дом-и-сад
С
Стиль-и-уход-за-собой
П
Праздники-и-традиции
Т
Транспорт
П
Путешествия
С
Семейная-жизнь
Ф
Философия-и-религия
Б
Без категории
М
Мир-работы
Х
Хобби-и-рукоделие
И
Искусство-и-развлечения
В
Взаимоотношения
З
Здоровье
К
Кулинария-и-гостеприимство
Ф
Финансы-и-бизнес
П
Питомцы-и-животные
О
Образование
О
Образование-и-коммуникации
dsgdfsg00
dsgdfsg00
30.11.2021 22:26 •  Математика

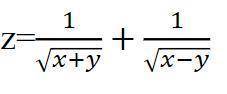
Найдите область определения функций


Найдите область определения функций

👇
Открыть все ответы
Ответ:
dance7
dance7
30.11.2021
Табуреток должно быть чётное количество, потому что если их будет нечетное количество, то будет 5 ног (3 табуреточные и 2 человеческие). А оставшиеся ноги (4 стуловых и 2 человеческих) в сумме не могут давать нечетное количество.

Получается, что табуреток или 2 (10 ног), или 4 (20 ног), или 6 (30 ног).
Оставшиеся ноги - это стуловые и человеческие. Стул + человек = 4+2 = 6 ног.
Из возможных вариантов табуреток нам подходит лишь 4 табуретки (20 ног) и 3 стула (3*6 ног = 18 ног), которые в сумме и дадут 20+18 = 38 ног
ответ: 3 стула.
4,8(79 оценок)
Ответ:
misha426
misha426
30.11.2021
Табуреток должно быть чётное количество, потому что если их будет нечетное количество, то будет 5 ног (3 табуреточные и 2 человеческие). А оставшиеся ноги (4 стуловых и 2 человеческих) в сумме не могут давать нечетное количество.

Получается, что табуреток или 2 (10 ног), или 4 (20 ног), или 6 (30 ног).
Оставшиеся ноги - это стуловые и человеческие. Стул + человек = 4+2 = 6 ног.
Из возможных вариантов табуреток нам подходит лишь 4 табуретки (20 ног) и 3 стула (3*6 ног = 18 ног), которые в сумме и дадут 20+18 = 38 ног
ответ: 3 стула.
4,4(61 оценок)
Новые ответы от MOGZ: Математика
logo
Вход Регистрация
Что ты хочешь узнать?
Спроси Mozg
Открыть лучший ответ