М
Молодежь
К
Компьютеры-и-электроника
Д
Дом-и-сад
С
Стиль-и-уход-за-собой
П
Праздники-и-традиции
Т
Транспорт
П
Путешествия
С
Семейная-жизнь
Ф
Философия-и-религия
Б
Без категории
М
Мир-работы
Х
Хобби-и-рукоделие
И
Искусство-и-развлечения
В
Взаимоотношения
З
Здоровье
К
Кулинария-и-гостеприимство
Ф
Финансы-и-бизнес
П
Питомцы-и-животные
О
Образование
О
Образование-и-коммуникации
nazarstepanov2
nazarstepanov2
31.08.2020 13:58 •  Математика

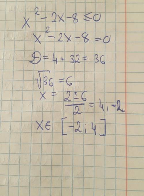
3. Решите неравенство х^2 - 2x – 8 <0.


3. Решите неравенство х^2 - 2x – 8 <0.​

👇
Ответ:
Sr529
Sr529
31.08.2020

Пошаговое объяснение:

Решение на фотографии


3. Решите неравенство х^2 - 2x – 8 <0.​
4,4(16 оценок)
Открыть все ответы
Ответ:
айрат36
айрат36
31.08.2020
Кчс локального характера относятся чс, в результате которых территория, на которой сложилась чрезвычайная ситуация и нарушены условия жизнедеятельности людей (далее — зона чрезвычайной ситуации), не выходит за пределы территории объекта, при этом количество людей, погибших или получивших ущерб здоровью (далее — количество пострадавших), составляет не более 10 человек либо размер ущерба окружающей природной среде и материальных потерь (далее — размер материального ущерба) составляет не более 100 тыс. рублей. чс муниципального характера — те чс, в результате которых зона чс не выходит за пределы территории одного поселения или внутригородской территории города федерального значения, при этом количество пострадавших составляет не более 50 человек либо размер материального ущерба составляет не более 5 млн рублей, а также данная чс не может быть отнесена к чс локального характера. к чс межмуниципального характера относятся чс, в результате ко торых зона чс затрагивает территорию двух и более поселений, внутригородских территорий города федерального значения или межселенную территорию, при этом количество пострадавших составляет более 50 человек либо размер материального ущерба составляет не более 5 млн рулей. чс регионального характера — те чс, в результате которых зона чс не выходит за пределы одного субъекта рф, при этом количество пострадавших составляет свыше 50 человек, но не более 500 человек либо размер материального ущерба составляет свыше 5 млн рублей, но не более 500 млн рублей. к чс федерального характера относятся чс, в результате которых количес тво пострадавших составляет свыше 500 человек либо размер материального ущерба составляет свыше 500 млн рублей.
4,5(46 оценок)
Ответ:
Vampire1234
Vampire1234
31.08.2020
Он засоряет ее однозначно а если посмотреть чисто с экологической стороны то воздействие чела на природу можно рассудить след путем 1. хозяйственная деятельность человека 2. рост народонаселения. 3. изменение состава атмосфер и климата.наиболее разрушительно из воздействий деятельности человека на сообщества – выделение загрязнителей. загрязнителем является любое вещество, в атмосферу, почву или природные воды и нарушающее идущие там биологические, иногда и или процессы. 4. загрязнение природных вод. 5. сведение лесов – одна из важнейших экологических проблем современности. 6. истощение и загрязнение почвы. 7. сокращение природного разнообразия.чрезвычайная эксплуатация, загрязнение, а зачастую и просто варварское уничтожение природных сообществ приводят к резкому снижению разнообразия живого.комментарии отметить нарушение12ilove777 новичок человек действительно влияет на природу. он использует ее ресурсы и зачастую ничем не возмещает их. человек использует леса, землю, воду. вырубая леса, он   уменьшает их количество. воду, которую потом очищает и использует в качестве питьевой, зачастую загрязняет. в реки постоянно сбрасываются токсичные отходы. на земле человек возделывает урожай, зачастую также оскудняет почву. стоит помнить, что неправильное использование природных ресурсов может к необратимым последствиям. сохранение природы в настоящее время - одна из главных современного человека, а загрязнение окружающей среды, которое может к катастрофе, - одна из основных   проблем всего человечества.
4,5(5 оценок)
Это интересно:
Новые ответы от MOGZ: Математика
logo
Вход Регистрация
Что ты хочешь узнать?
Спроси Mozg
Открыть лучший ответ