М
Молодежь
К
Компьютеры-и-электроника
Д
Дом-и-сад
С
Стиль-и-уход-за-собой
П
Праздники-и-традиции
Т
Транспорт
П
Путешествия
С
Семейная-жизнь
Ф
Философия-и-религия
Б
Без категории
М
Мир-работы
Х
Хобби-и-рукоделие
И
Искусство-и-развлечения
В
Взаимоотношения
З
Здоровье
К
Кулинария-и-гостеприимство
Ф
Финансы-и-бизнес
П
Питомцы-и-животные
О
Образование
О
Образование-и-коммуникации
Rilon
Rilon
08.11.2021 22:59 •  Математика

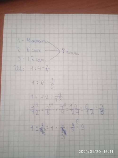
Бірлесіп орындалатын жұмыстарға қатысты есептер. 5-сабақ 5 сағатта 4 сағатта сағатта 2 сағатта 3 сағатта


Бірлесіп орындалатын жұмыстарға қатысты есептер. 5-сабақ 5 сағатта 4 сағатта сағатта 2 сағатта 3 сағ

👇
Ответ:
Тамирис91
Тамирис91
08.11.2021

жауабы 3 үзақ уақыт шығардым 3 рет тексердім

Пошаговое объяснение:


Бірлесіп орындалатын жұмыстарға қатысты есептер. 5-сабақ 5 сағатта 4 сағатта сағатта 2 сағатта 3 сағ
4,4(73 оценок)
Ответ:
JuliaVolk05
JuliaVolk05
08.11.2021

2

Пошаговое объяснение:

шын.Мен анау секилди 3 деп жасасам кате болды онын жауабы 2

4,5(71 оценок)
Открыть все ответы
Ответ:
viktoria20000000
viktoria20000000
08.11.2021
Проект мой родной город - Миасс.
 
Автор:  Шарабарина Валерия ученица 2 класса «В»  МОУ МСОШ N 20    
 
План моего выступления на презентации.
1.     Мой родной город - Миасс.
2.     За что я люблю свой город.
3.     Достопримечательности моего города.    
   
 Мой родной город-Миасс. Я люблю свой город, потому что я здесь живу, хотя я родилась на севере и была маленькая, когда мы уехали оттуда и не помню своего родного города. Поэтому своим родным городом и родиной считаю город Миасс, здесь живут самые близкие и дорогие мне люди: мама, папа, братья и мои бабушки и дедушка. С каждым годом наш город  растет и становится еще красивей. Мой город богат традициями и достопримечательностями: озеро Тургояк, Ильменский заповедник, краеведческий музей, большое промышленное предприятие – Уральский автомобильный завод  и наш «Урал» известен во всем мире. Мне очень повезло, что я живу в таком прекрасном городе. Я люблю свой город и школу в которой я учусь. Я горжусь своим городом  ведь  он так красив и богат.                                

Работа над проектом, мне очень понравилась. Мне было очень интересно писать о своем городе. Работа для меня была не легкой, но и не трудной. Работать над проектом, мне моя мама, за что я ей очень благодарна!
4,7(4 оценок)
Ответ:
рита461
рита461
08.11.2021
Все растояние= ? Х
расстояния Х и ещё 56км
Осталось= 2/5 расстояния Х

Уравнение
5/9•Х+ 56км+ 2/5•Х=Х
56=Х- 5/9х- 2/5х
56= 45/45Х- (5•5)/(9•5)Х- (2•9)/5•9)Х
56=45/45Х- 25/45х- 18/45х
56= 2/45Х
Х=56: 2/45
Х=56• 45/2
Х= 28• 45/1
Х= 1260км все растояние

5/9Х+ 56км= 5/9• 1260+ 56= 5/1• 140+ 56= 756км сперва

2/5Х= 2/5•1260= 2/1• 252=504км осталось пройти;
ответ: поезду осталось пройти 504км

Без икс;
Весь путь это единица, в ней все части пути.
и 56км всего пути, потом ещё 2/5 всего пути, вычитаем части из пути и оставшиеся части это 56км будет.

1)) 1- 5/9- 2/5= 45/45- (5•5)/(9•5)- (2•9)/(5•9)= 45/45- 25/45- 18/45= 2/45 пути это 56км, а всех частей 45, нашли 2.

2)) 56:2= 28 км это 1 часть из 45;

3)) 28• 45=1260км весь путь;

4)) 1260: 9•5+ 56= 140•5+ 56=700+56=756км сперва это (5/9 частей и 56км);

5))1260- 756=504км осталось пройти (это 2/5 части)

ответ: осталось пройти 504км
4,5(78 оценок)
Это интересно:
Новые ответы от MOGZ: Математика
logo
Вход Регистрация
Что ты хочешь узнать?
Спроси Mozg
Открыть лучший ответ