М
Молодежь
К
Компьютеры-и-электроника
Д
Дом-и-сад
С
Стиль-и-уход-за-собой
П
Праздники-и-традиции
Т
Транспорт
П
Путешествия
С
Семейная-жизнь
Ф
Философия-и-религия
Б
Без категории
М
Мир-работы
Х
Хобби-и-рукоделие
И
Искусство-и-развлечения
В
Взаимоотношения
З
Здоровье
К
Кулинария-и-гостеприимство
Ф
Финансы-и-бизнес
П
Питомцы-и-животные
О
Образование
О
Образование-и-коммуникации
полли43
полли43
04.03.2022 10:59 •  Математика

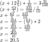
Десятичная дробь. Чтение и запись десятичных дробей. Перевод десятичной дроби в обыкновенную дробь. Урок 5 Реши уравнение. ответ запиши в виде десятичной дроби. (х+12 3/5)*1/10=3 31/100 ответ: x = .

👇
Ответ:
MoskowCorp
MoskowCorp
04.03.2022

20.5

Пошаговое объяснение:

(x+12\frac{3}{5})*\frac{1}{10} =3\frac{31}{100} \\(x+\frac{63}{5}) =\frac{331}{100}/\frac{1}{10}\\x+\frac{63}{5} =\frac{331}{10}\\x =\frac{331}{10}-(\frac{63}{5})*2\\x =\frac{331}{10}-\frac{126}{10}\\x =\frac{205}{10}\\x=20.5

4,6(92 оценок)
Открыть все ответы
Ответ:
snow15
snow15
04.03.2022
Найдем изначально сторону противолежащую данному углу, опустив высоту, получаем что наш равнобедренный треугольник разбивается на 2 прямоугольных, т.к это высота является биссектрисой и медианой то она отсекает треугольник с углами 30-60-90, катет лежащий напротив угла в 30 градусов равен половине гипотенузы , значит искомая высота 5, по теореме Пифагора найдем половину основания c=\sqrt{100-25} = \sqrt{75} =5 \sqrt{3} Значит вся сторона будет 10\sqrt{3}
Теперь по теореме синусов определим радиус описанной окружности 
10√3/sin120=2R, sin 120= √3/2
R= 10.
ответ: 10
4,6(18 оценок)
Ответ:
тса2
тса2
04.03.2022
1) 54*2=108 км проехал автомобиль со скоростью 54 км/ч
2) 250-108=142 км осталось проехать
3) 4-2=2 ч осталось ехать, что путь занял 4 ч
4) 142:2=71 км/ч должна быть скорость автомобиля
5) 71-54=17 км/ч надо увеличить скорость
ответ В на 17 км/ч

№4
Размещаем цифры от 1-9 в квадрате следующим образом:
1 2 9
4 3 8
5 6 7
Сумма диагонали:
1 + 3 + 7 = 11
ответ В 11

№5 Дополним условие. Оля задумала натуральное число меньше 30 и нашла его остатки от деления на 6 и на 9. Сумма этих остатков оказалась равна 13. Найдите остаток от деления этого числа на 18
Остаток от деления на 6 может быть от 0 до 5, на 9 от 0 до 8.
Сумму остатков от деления 13 можно получить:
5+8=13 - только 1 вариант 
Значит это число можно найти как:
9+8=17
6*2+5=17
При условии что это число меньше 30 только 1 вариант 17.
17:18=0 (ост. 17)
ответ Г) 17
4,6(2 оценок)
Новые ответы от MOGZ: Математика
logo
Вход Регистрация
Что ты хочешь узнать?
Спроси Mozg
Открыть лучший ответ