
3;3
Пошаговое объяснение:
ответ: 4часа 2минуты
Объяснение:
Находим скорость течения реки: 25/6 1/4=4км/час
Скорость катера по течению будет: 25+4=29км/час
Скорость удаления катера от плота равна: 29-4=25км/час
Плот отправился раньше на 1 3/4 часа и за это время он проплыл:
4*1 1/4=7км.
Значит катеру нужно сначала догнать плот, а затем перегнать на
93 3/4км и общее расстояние будет 93 3/4+7=100 3/4км.
Время, которое катер затратит на это расстояние будет равно частному от деления расстояния на скорость удаления катера:
t=100 3/4:25=4 часа 2 минуты
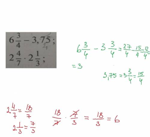
Пошаговое объяснение:
1)3.75 - это 3 целых и 3/4, тоесть 6
- 3
= 3
2) переводим в неправиольные дроби( тоесть умножаем 2 на 7 и добавляем 4, семь оставляем. Также меняем вторую дробь.
получается
= 6( мы сократили 7, и три с 18)