М
Молодежь
К
Компьютеры-и-электроника
Д
Дом-и-сад
С
Стиль-и-уход-за-собой
П
Праздники-и-традиции
Т
Транспорт
П
Путешествия
С
Семейная-жизнь
Ф
Философия-и-религия
Б
Без категории
М
Мир-работы
Х
Хобби-и-рукоделие
И
Искусство-и-развлечения
В
Взаимоотношения
З
Здоровье
К
Кулинария-и-гостеприимство
Ф
Финансы-и-бизнес
П
Питомцы-и-животные
О
Образование
О
Образование-и-коммуникации
splaylive
splaylive
02.10.2020 17:59 •  Математика

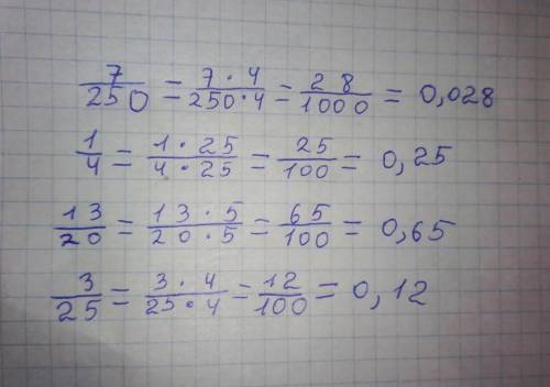
переведите к дроби со знаменателем кратным 10 и запишите десятичную дробь равную дроби сегодня нужно сделать подписка комментарий лайк звёзда лучше ответ ​

👇
Ответ:
valya83
valya83
02.10.2020

ответ на фото.

Пошаговое объяснение:


переведите к дроби со знаменателем кратным 10 и запишите десятичную дробь равную дроби сегодня нужно
4,6(71 оценок)
Открыть все ответы
Ответ:
User5281
User5281
02.10.2020
Лёд – является кристаллическим состоянием воды. Этот минерал имеет химическую формулу H2O. 
Структура кристаллов льда схожа со структурой алмаза: любая молекула H2O находится в окружении четырех ближайших к ней молекул, которые располагаются на равных 2,76А расстояниях от нее и находящихся в углах правильного тетраэдра. Поскольку координационное число низкое, то лед имеет ажурную структуру, что сказывается на его плотности (0,917). 
Вода, превращаясь в лёд, увеличивает свой объём примерно на 9 %. Лёд, будучи легче жидкой воды, образуется на поверхности водоёмов, что препятствует дальнейшему замерзанию воды. 
Высокая удельная теплота плавления льда, равная 330 кДж/кг, (для сравнения — удельная теплоты плавления железа равна 270 кДж/кг) , служит важным фактором в обороте тепла на Земле. Так, чтобы растопить 1 кг льда или снега, нужно столько же тепла, сколько требуется, чтобы нагреть литр воды от 0 до 80 °C. 
Лёд встречается в природе в виде собственно льда (материкового, плавающего, подземного) , а также в виде снега, инея и т. д. Под действием собственного веса лёд приобретает пластические свойства и текучесть. 
Природный лёд обычно значительно чище, чем вода, так как при кристаллизации воды в первую очередь в решётку встают молекулы воды. Лёд может содержать механические примеси — твёрдые частицы, капельки концентрированных растворов, пузырьки газа. Наличием кристалликов соли и капелек рассола объясняется солоноватость морского льда. 
А также он является бесцветным. Синеватый оттенок лед получает в немалых скоплениях. Имеет стеклянный блеск. Прозрачный. Не обладает спайностью. Твердость – 1,5. Непрочный. Показатель преломления весьма низкий (nm = 1,309, n = 1,310). Оптически лед положителен. 
4,6(4 оценок)
Ответ:
Kravtskris
Kravtskris
02.10.2020
Лёд – является кристаллическим состоянием воды. Этот минерал имеет химическую формулу H2O. 
Структура кристаллов льда схожа со структурой алмаза: любая молекула H2O находится в окружении четырех ближайших к ней молекул, которые располагаются на равных 2,76А расстояниях от нее и находящихся в углах правильного тетраэдра. Поскольку координационное число низкое, то лед имеет ажурную структуру, что сказывается на его плотности (0,917). 
Вода, превращаясь в лёд, увеличивает свой объём примерно на 9 %. Лёд, будучи легче жидкой воды, образуется на поверхности водоёмов, что препятствует дальнейшему замерзанию воды. 
4,4(42 оценок)
Новые ответы от MOGZ: Математика
logo
Вход Регистрация
Что ты хочешь узнать?
Спроси Mozg
Открыть лучший ответ