
94
Пошаговое объяснение:
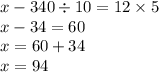
х-340:10=12*5
х=12*5+340:10
х=60+34
х=94
античность - это эпоха цивилизации древней греции и древнего рима. в те времена были заложены основы будущей европейской цивилизации. развились ремесла и техника, науки и искусство.
архимед были заложены основы , гиппократом – медицины. пифагором - основы , а евклидом, в частности, - . развилось искусство риторики (демосфен, цицерон). были заложены основы также гуманитарных наук - социологии, политологии, философии (платон, аристотель). работы античных дали последующим поколениям ценные сведения по поводу мироустройства.
в античности общество впервые изобрело демократическую форму государственного устройства, определило статус, права и обязанности гражданина. тогда же появился институт выборов политиков в органы власти.
античное искусство базировалось в первую очередь на мифологии. древние греки и древние римляне верили в большое количество различных богов и полубогов. все боги античности были максимально приближены к людям: они обладали человеческими обликами и чувствами, в том числе и пороками.
мифы, то есть приключения людей, полубогов и богов стали темой античной скульптуры, античной архитектуры, а также античной (гомер, софокл, аристофан). в эпоху античности развилось театральное искусство, для которого драматурги писали пьесы, трагедии и комедии.
высшими ценностями античной культуры были земная красота и гармония: природы, искусства, человеческого тела. недаром в античном обществе большое внимание уделялось культуре, спортивным тренировкам. искусство и античности пытались в первую очередь воспроизвести эту красоту и гармонию. античность воспела культ нравственности, благородства, правильного поведения, которые ведут человека к гармонии и духовного совершенства.