
(сделай мой ответ лучшим )
Пошаговое объяснение:
Длина стороны квадрата
а= 4 см
Формула периметра квадрата
Р=а+а+а+а= 4*а
Р= 4 см +4 см + 4 см + 4 см = 4* 4 см = 16 см
Формула площади
S= a*a
S= 4 см * 4 см = 16 см ²
При вычислении периметра мы длину стороны складываем 4 раза , или увеличиваем в 4 раза , т.е складываем сантиметры с сантиметрами по-этому изменение единиц измерения не происходит
При вычислении площади мы умножаем сторону на сторону , т.е умножаем сантиметры на сантиметры и получаем новую единицу измерения сантиметр в квадрате ( см ²)
Пошаговое объяснение:
Длина стороны квадрата
а= 4 см
Формула периметра квадрата
Р=а+а+а+а= 4*а
Р= 4 см +4 см + 4 см + 4 см = 4* 4 см = 16 см
Формула площади
S= a*a
S= 4 см * 4 см = 16 см ²
При вычислении периметра мы длину стороны складываем 4 раза , или увеличиваем в 4 раза , т.е складываем сантиметры с сантиметрами по-этому изменение единиц измерения не происходит
При вычислении площади мы умножаем сторону на сторону , т.е умножаем сантиметры на сантиметры и получаем новую единицу измерения сантиметр в квадрате ( см ²)
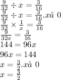
ответ: х=1,5
Пошаговое объяснение:
9/32×1/х=3/16
9/32х=3/16
96х=144
х=3/2
х=1,5