М
Молодежь
К
Компьютеры-и-электроника
Д
Дом-и-сад
С
Стиль-и-уход-за-собой
П
Праздники-и-традиции
Т
Транспорт
П
Путешествия
С
Семейная-жизнь
Ф
Философия-и-религия
Б
Без категории
М
Мир-работы
Х
Хобби-и-рукоделие
И
Искусство-и-развлечения
В
Взаимоотношения
З
Здоровье
К
Кулинария-и-гостеприимство
Ф
Финансы-и-бизнес
П
Питомцы-и-животные
О
Образование
О
Образование-и-коммуникации
светлана498
светлана498
19.01.2020 20:30 •  Математика

Укажите координаты точки пересечения графиков функций у = 1,5х - 2
и y = 4 -0,5х.
A) (3;2,5);
В) (-3;-6,5);
C) (-32;-6,5);
D) (11;-60);​

👇
Ответ:
ДарьяСв
ДарьяСв
19.01.2020

А) (3; 2,5).

Пошаговое объяснение:

Для этого, приравняем данные функции и решим уравнение.

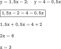
\tt y = 1,5x - 2; \: \: \: \: \: y = 4 - 0,5x \\ \\ \boxed{\tt 1,5x - 2 = 4 - 0,5x} \\ \\ \tt 1,5x + 0,5x = 4 + 2 \\ \\ \tt 2x = 6 \\ \\ \tt x = 3

Так как значение независимой переменной x найдено, подставим это значение в одну из функций и найдём значение y.

\tt y = 1,5 \cdot 3 - 2 = 4,5 - 2 = 2,5

Можем также себя проверить, подставив значение аргумента во вторую функцию.

\tt y = 4 - 0,5 \cdot 3 = 4 - 1,5 = 2,5

Так как значения совпали, то мы всё решили правильно.

4,5(93 оценок)
Открыть все ответы
Ответ:

63.

Пошаговое объяснение:

Рассмотрим все пары натуральных чисел, удовлетворяющих условию m+n=16:

1) 1 и 15 взаимно простые, произведение 1•15 = 15;

2) 2 и 14 не являются взаимно простыми, (например, имеют общий делитель 2);

3) 3 и 13 взаимно простые, произведение 3•13 = 39;

4) 4 и 12 не являются взаимно простыми, (например, имеют общий делитель 2);

5) 5 и 11 являются взаимно простыми, произведение 5•11 = 55;

6) 6 и 10 не являются взаимно простыми, (например, имеют общий делитель 2);

7) 7 и 9 являются взаимно простыми, произведение 7•9= 63;

8) Пара 8 и 8 не удовлетворяет условию, слагаемые не являются взаимно простыми, (например, имеют общий делитель 2)

Остальные пары чисел будут отличаться лишь порядком следования и были рассмотрены.

Наибольшее произведение слагаемых 7 и 9 равно 7•9= 63.

4,4(70 оценок)
Ответ:
Princess358ghhh
Princess358ghhh
19.01.2020

В задаче не сказано какой формы будут клумбы - вот и задумался садовник. Рисунок к задаче в приложении.

Если стороны равны - а , то это ромб или квадрат. Тогда периметр по формуле: Р = 4*а.

Если стороны разные: a и b, то это параллелограмм или прямоугольник и  периметр по формуле: P = 2*(a + b).

1)  а = b = 4 м.  Р1 = 4*а = 4*4 = 16 м - периметр первой клумбы.

2) Р2 = 2*(6 + 4) = 2*10 = 20 м - периметр второй клумбы

3) Р3 = 2*(7 + 2) = 2*9 = 18 м - периметр третьей клумбы.

4) Р4 = 2*(5 + 3) = 2*8 = 16 м - периметр четвёртой клумбы.

И теперь длину изгороди на все четыре клумбы - сумма отдельных.

5) Р = 16+20+18+16 = 70 м на все четыре клумбы - ОТВЕТ


Вычисли периметр каждой клумбы . если садовник хочет обнести изгородью каждую клумбу , то какой длин
4,4(82 оценок)
Новые ответы от MOGZ: Математика
logo
Вход Регистрация
Что ты хочешь узнать?
Спроси Mozg
Открыть лучший ответ