М
Молодежь
К
Компьютеры-и-электроника
Д
Дом-и-сад
С
Стиль-и-уход-за-собой
П
Праздники-и-традиции
Т
Транспорт
П
Путешествия
С
Семейная-жизнь
Ф
Философия-и-религия
Б
Без категории
М
Мир-работы
Х
Хобби-и-рукоделие
И
Искусство-и-развлечения
В
Взаимоотношения
З
Здоровье
К
Кулинария-и-гостеприимство
Ф
Финансы-и-бизнес
П
Питомцы-и-животные
О
Образование
О
Образование-и-коммуникации
dilya1921
dilya1921
26.07.2022 17:43 •  Математика

Не дайте завалить на первом курсе


Не дайте завалить на первом курсе

👇
Ответ:
Fedotaq
Fedotaq
26.07.2022

Пошаговое объяснение:

производные

а)

\displaystyle y'= \bigg(ln^2(x-8) \bigg )'= 2ln(x-8)*(ln(x-8))'(x-8)'=\frac{2ln(x-8)}{x-8}

б) здесь делаю вставку на производную от константы в степени f(x)

\displaystyle y'=\bigg ((x^3+4)*2^{(x^2-1)}\bigg )=\left[\begin{array}{ccc}(a^{f(x)})' = a^{f(x)}*ln(a)*f(x)'\\\\\end{array}\right] =

\displaystyle =(x^3+4)'*2^{(x^2+1)}+(x^3+4)\bigg (2^{(x^2+1)} \bigg )'=

\displaystyle =3x^2*2^{(x^2+1)}+ (x^3+4)*2^{(x^2+1)}*ln2*2x

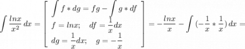
неопределенный интеграл

\displaystyle \int {\frac{lnx}{x^2} } \, dx =\left[\begin{array}{ccc}\displaystyle \int f*dg=fg-\int g*df\\ \displaystyle f=lnx;\quad df=\frac{1}{x} dx \hfill \\ \displaystyle dg=\frac{1}{x}dx;\quad g=-\frac{1}{x} \hfill \end{array}\right] =-\frac{lnx}{x} -\int {(-\frac{1}{x}*\frac{1}{x} }) \, dx =

\displaystyle -\frac{lnx}{x} +\int {\frac{1}{x^2} } \, dx =-\frac{lnx}{x} -\frac{1}{x} +C=-\frac{lnx+1}{x} +C

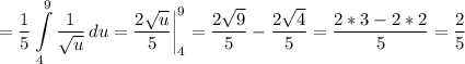
определенный интеграл

здесь при замене переменных поменяются пределы интегрирования

\displaystyle \int\limits^2_1 {\frac{1}{\sqrt{5x-1} } } \, dx =\left[\begin{array}{ccc}u=5x-1; \quad du = 5dx\\u_{low}=5*1-1=4 \hfill\\u_{up}=5*2-1=9 \hfill\end{array}\right] =

\displaystyle =\frac{1}{5} \int\limits^9_4 {\frac{1}{\sqrt{u} } } \, du=\frac{2\sqrt{u} }{5} \bigg \vert ^9_4=\frac{2\sqrt{9} }{5} -\frac{2\sqrt{4} }{5} =\frac{2*3-2*2}{5} =\frac{2}{5}

4,6(11 оценок)
Открыть все ответы
Ответ:
GanstaRio1
GanstaRio1
26.07.2022
А - белая окраска (доминантная черта)а - черная окраска (рецессивная черта)Белый баран и белая ярка могут быть как гомозиготными по доминантному гену (генотип АА), так и гетерозиготными (генотип Аа). Но поскольку мы знаем, что в потомстве они имели черных ягнят (рецессивный окрас), то следовательно оба белых родителя являются гетерозиготами. Их генотип Аа.Генотип чёрной ярки аа. 
1.) Белый баран х черная ярка    
        a        а
А    Аа       Аа
а    аа       аа
Генотипы потомства Аа и аа (расщепление 1:1) 
1) Белый баран х белая яркая
       А         а
А   АА        Аа
а   Аа        аа
Генотипы потомства АА, Аа, аа (расщепление 1:2:1)
4,7(64 оценок)
Ответ:
jillikati
jillikati
26.07.2022
< 80 км/ч Станция 60 км/ч>

1) 500 - 80 = 420 (км) - такое расстояние должно быть между автобусами через 1 час после выхода первого автобуса;
2) 80 + 60 = 140 (км/ч) - скорость удаления;
3) 420 : 140 = 3 (ч) - через 3 часа расстояние между автобусами будет 500 км.
Выражение: (500 - 80) : (80 + 60) = 3
ответ: через 3 часа. 

Проверка: 80 * (1 + 3) = 320 км - проедет первый автобус за 4 часа
                  60 * 3 = 180 км - проедет второй автобус за 3 часа
                  320 + 180 = 500 км - расстояние между автобусами через 3 часа  
4,6(15 оценок)
Это интересно:
Новые ответы от MOGZ: Математика
logo
Вход Регистрация
Что ты хочешь узнать?
Спроси Mozg
Открыть лучший ответ