М
Молодежь
К
Компьютеры-и-электроника
Д
Дом-и-сад
С
Стиль-и-уход-за-собой
П
Праздники-и-традиции
Т
Транспорт
П
Путешествия
С
Семейная-жизнь
Ф
Философия-и-религия
Б
Без категории
М
Мир-работы
Х
Хобби-и-рукоделие
И
Искусство-и-развлечения
В
Взаимоотношения
З
Здоровье
К
Кулинария-и-гостеприимство
Ф
Финансы-и-бизнес
П
Питомцы-и-животные
О
Образование
О
Образование-и-коммуникации
lukianova201720
lukianova201720
07.11.2020 08:48 •  Математика

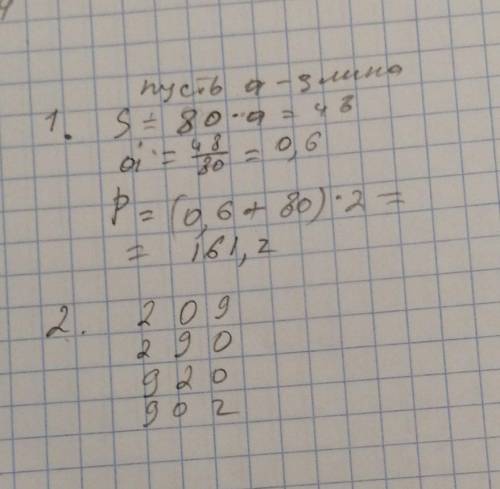
1.Площадь поля прямоугольной формы имеет площадь 48 а,его ширина-80м. Вычислите периметр поля. 2. Запишите все трехзначные числа,для записи которых используются только цифры 0,9 и 2 (ЦИФРЫ НЕ МОГУТ ПОВТОРЯТСЯ)

👇
Ответ:
LadyAmfetamin
LadyAmfetamin
07.11.2020

решение смотри на фотографии


1.Площадь поля прямоугольной формы имеет площадь 48 а,его ширина-80м. Вычислите периметр поля. 2. За
4,5(67 оценок)
Ответ:
Лубаша
Лубаша
07.11.2020

1. 280 м периметр поля

2. 902, 920 , 209 , 290 - все трехзначные числа

Пошаговое объяснение:

48 а = 4 800 м²

S = a*b, где S = 4 800 м²,  b - ширина = 80 м,  а - длина = ?

а = S/b = 4800/80 = 60 м - длина

Р = 2(a + b) = 2(80 + 60) = 2 * 140 = 280 м

2. 902, 920 , 209 , 290

4,5(16 оценок)
Открыть все ответы
Ответ:
черныйхащ
черныйхащ
07.11.2020
1) Охота ,рыбалка,кочевничество- все их занятия на природе!
2) земледелие,скотоводство,ремесло,солеварение,полуземлянки,вера-языческая 
3) Традиционное жилище восточных славян формировалось в определённой исторической обстановке под влиянием изменившихся условий жизни народа. К середине XIX в. – времени, когда сложились основные особенности сельского жилища восточных славян, - наряду с общими чертами жилище разных районов на всей обширной территории расселения русских, украинцев и белорусов имело локальные отличия (природные, социальные, экономические и исторические) приводили к созданию разных типов восточнославянского жилища, сосуществовавших в этнических традициях этих народов. На пространствах России, где в качестве основного материала использовался лес, преобладала срубная техника. Уже в Древней Руси срубная техника достигла высокой степени совершенства. Для строительства жилых домов на севере и в центре зоны распространения срубного жилища использовали в основном хвойные породы дерева. Наиболее распространённой была рубка сруба из круглых очищенных от коры, но неотёсанных брёвен.
4) они не верили. Они знали. У них были свои Боги которых сейчас многие забылли или называют бесами и. т. д. Славяне чтили путь прави, законы чести, гордости и достоинства.
4,8(16 оценок)
Ответ:
Lollollo74374737
Lollollo74374737
07.11.2020
Раз встретились они через 12 минут а вышли в одно время значит и Коля шел 12 минут
объясню
                              Время в которое вышли                 Через сколько встретились
Ваня                                    8:30                                                  12 минут
Коля                                    8:30                                                   ?
незнаю я как ещё точнее написать что не мог Коля идти дольше Вани если вышли в одно время и встретились через 12 минут ну не мог Коля встретится с ним через другой промежуток времени
Вот подобная пример просто
                                Время в которое вышла                 Через сколько встретились
Ваня                                     8:30                                                  12
Коля                                      8:00                                                    ?
Вот тут получается Коля был в Пути 42 минуты до встречи с Ваней а там одинаковое время
4,4(69 оценок)
Это интересно:
Новые ответы от MOGZ: Математика
logo
Вход Регистрация
Что ты хочешь узнать?
Спроси Mozg
Открыть лучший ответ