М
Молодежь
К
Компьютеры-и-электроника
Д
Дом-и-сад
С
Стиль-и-уход-за-собой
П
Праздники-и-традиции
Т
Транспорт
П
Путешествия
С
Семейная-жизнь
Ф
Философия-и-религия
Б
Без категории
М
Мир-работы
Х
Хобби-и-рукоделие
И
Искусство-и-развлечения
В
Взаимоотношения
З
Здоровье
К
Кулинария-и-гостеприимство
Ф
Финансы-и-бизнес
П
Питомцы-и-животные
О
Образование
О
Образование-и-коммуникации

Вычисли: 1) 1,2*2=
2) K результату прибавьте 1,1
3) Результат* 3
4) Из результата вычесть 9,5
5) Из результата вычесть 0,3
6) Результат 6​

👇
Ответ:
mvchudakova
mvchudakova
28.10.2020

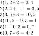
1,2*2=2,4

2,4+1,1=3,5

3,5*3=10,5

10,5-9,5=1

1-0,3=0,7

0,7*6=4,2

4,6(13 оценок)
Ответ:

1) 1,2*2=2,4\\2)2,4+1,1=3,5\\3)3,5*3=10,5\\4)10,5-9,5=1\\5)1-0,3=0,7\\6)0,7*6 =4,2

4,4(58 оценок)
Открыть все ответы
Ответ:
dkrutov03
dkrutov03
28.10.2020
Пусть 9х - это стоимость тарелок, 6у - это стоимость чашек, а 9е - это стоимость ложек. Тогда получим уравнение 9х+6у+9е=283 На это уравнение можно смотреть, как на запись задачи: найти числовые значения для x, y и е, чтобы трехчлен 9х+6у+9е оказался равен числу 283. Таким образом это уравнение является уравнением с тремя неизвестными. Так как мы можем решить одно уравнение с одним неизвестным, то уже с первого взгляда возникает мысль, что 2 неизвестных здесь являются как бы лишними, и им можно давать произвольные значения. И действительно, если, например, взять для y число 15 и для е число 20, то получим уравнение с одним неизвестным: 9х+6*15+9*20=283 откуда 9х+90+180=283 9х=283-270 9х=13 х=13÷9 х=1,444444444 Таким образом, мы получаем стоимость тарелки 1,4444444 руб, стоимость чашки 15 руб, стоимость ложки 20 руб. Продавец обманул Федору, т.к.у нас получилось неровное число, 1,4 в периоде, с остатком. Числа можно подставить разные. У этого уравнения множество решений и это одно из них. Если я правильно понимаю!)))
4,5(6 оценок)
Ответ:
Didasret
Didasret
28.10.2020
Искусство (творческое отражение, воспроизведение действительности в художественных образах. ) существует и развивается как система взаимосвязанных между собой видов, многообразие которых обусловлено многогранностью самого (реального мира, отображаемого в процессе художественного творчества.
Виды искусства - это исторически сложившиеся, формы творческой деятельности, обладающие художественной реализации жизненного содержания и различающиеся по ее материального воплощения (слово в литературе, звук в музыке, пластические и колористические материалы в изобразительном искусстве и т. д.) .
В современной искусствоведческой литературе сложились определенная схема и система классификации искусств, хотя единой до сих пор нет и все они относительны. Наиболее распространенной схемой является его деление на три группы.
В первую - входят пространственные или пластические виды искусств. Для этой группы искусств существенным является пространственное построение в раскрытии художественного образа - Изобразительное искусство, Декоративно-прикладное искусство, Архитектура, Фотография.
Ко второй группе относятся временные или динамические виды искусств. В них ключевое значение приобретает развертывающаяся во времени композиция - Музыка, Литература. Третью группу представляют пространственно-временные виды, которые называются также синтетическими или зрелищными искусствами - Хореография, Литература, Театральное искусство, Киноискусство.
Существование различных видов искусств вызвано тем, что ни одно из них своими собственными средствами не может дать художественную всеобъемлющую картину мира. Такую картину может создать только вся художественная культура человечества в целом, состоящая из отдельных видов искусства
4,6(82 оценок)
Это интересно:
Новые ответы от MOGZ: Математика
logo
Вход Регистрация
Что ты хочешь узнать?
Спроси Mozg
Открыть лучший ответ