М
Молодежь
К
Компьютеры-и-электроника
Д
Дом-и-сад
С
Стиль-и-уход-за-собой
П
Праздники-и-традиции
Т
Транспорт
П
Путешествия
С
Семейная-жизнь
Ф
Философия-и-религия
Б
Без категории
М
Мир-работы
Х
Хобби-и-рукоделие
И
Искусство-и-развлечения
В
Взаимоотношения
З
Здоровье
К
Кулинария-и-гостеприимство
Ф
Финансы-и-бизнес
П
Питомцы-и-животные
О
Образование
О
Образование-и-коммуникации
narutoluffi1
narutoluffi1
15.09.2022 19:24 •  Математика

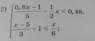
Только выручите и лучший ответ дам


Только выручите и лучший ответ дам ​

👇
Ответ:
sladenykaya136
sladenykaya136
15.09.2022

x€[-2; 16]

Пошаговое объяснение:

1) Преобразовать десятичную дробь в обыкнавенную то есть:

0,8х преобразуем в 4/5.

2)Дальше 0,48 преобразем 12/25.

3)Записать все числители над знаминателем.

3) Упростить составную дробь

4) умножить обе части неравенства на 50.

5)Умножить 2 на скобку

6) привести подобные челены.

7)Делаем расстановку:

Все числа в левую часть а простые числа в правую с изменением знака.

8)Сложить числа

9)Разделить неравенство -17 и поменять знак неравенства.

И нижний пример тоже самое только числа поменялись.

4,8(11 оценок)
Ответ:
иван1159
иван1159
15.09.2022
ответ:
Х€[-2;16]
Пошаговое объяснение:
4,6(47 оценок)
Открыть все ответы
Ответ:
gotov2344433332
gotov2344433332
15.09.2022

О                               тв                                    е  т:

По                               ш                               о                                                в                                                                             ое                     о                                 бъ                                                                                                    я                                                              сн             е               н            и е :

4,4(58 оценок)
Ответ:
raisa55555555
raisa55555555
15.09.2022
1) 140 : 70 = 2(часа) был в пути каждый мотоциклист
2) 60 * 2 = 120(км) проехал до встречи 2-ой мотоциклист
3) 140 + 120 = 260км
ответ: 260 км - расстояние между городами.

Обратная задача:
Расстояние между двумя городами 260км. Из этих двух городов выехали одновременно навстречу друг другу 2 мотоциклиста. Скорость 1-ого мотоциклиста = 70км/ч, скорость 2-ого мотоциклиста= 60км/ч. Через сколько часов мотоциклисты встретились?
Решение:
1) 70 + 60 = 130(км/ч) - скорость сближения
2) 260 : 130 = 2(часа)
ответ: через 2 часа мотоциклисты встретились. 
4,7(91 оценок)
Новые ответы от MOGZ: Математика
logo
Вход Регистрация
Что ты хочешь узнать?
Спроси Mozg
Открыть лучший ответ