
4 кролика
Пошаговое объяснение:
1) Пусть в 1-ой клетке сидит 1 кролик. У него или 3 или 7 соседей.
Если у него 7 соседей, то во 2-ой клетке будет 7 кроликов.
Но в 3-ей клетке тоже сидит хотя бы 1 кролик.
Тогда у каждого из этих 7 кроликов будет хотя бы 8 соседей, что невозможно.
Значит, во 2-ой клетке сидит 3 кролика, и у каждого из них уже есть 3 соседа: 2 в своей клетке и 1 в 1-ой клетке.
Чтобы у них было по 7 соседей, в 3-ей клетке должно быть 4 кролика.
В 4-ой клетке должен быть 1 кролик, а в 5-ой 3 кролика.
ответ 1: 4 кролика.
2) Пусть в 1-ой клетке сидят 2 кролика. У них или 3 или 7 соседей.
Если у них 7 соседей, то во 2 клетке сидят 6 кроликов.
Но в 3-ей клетке тоже должен сидеть хотя бы 1 кролик.
Тогда у каждого из этих 6 будет 8 соседей, что невозможно.
Значит, у 2 кроликов в 1-ой клетке по 3 соседа у каждого.
То есть во 2-ой клетке сидят 2 кролика, а в 3-ей клетке 4.
Таким образом, во 2 клетке у каждого 2+1+4=7 соседей.
А в 4-ой клетке сидят опять 2 кролика, и в 3-ей клетке у каждого кролика 2+3+2=7 соседей.
ответ 2: 4 кролика.
3) Пусть в 1-ой клетке сидят 3 кролика.
Тогда во 2-ой клетке будет или 1 кролик (в 1-ой клетке у каждого по 3 соседа), или 5 кроликов (по 7 соседей).
Если во 2-ой клетке 1 кролик, то в 3-ей клетке 4 кролика (во 2-ой у кролика 3+4=7 соседей).
Тогда в 4-ой клетке должно быть 3 кролика (в 3-ей у каждого кролика 1+3+3=7 соседей).
И, наконец, в 5-ой клетке будет 1 кролик.
В 4-ой у каждого 4+2+1=7 соседей, а в 5-ой у него 3 соседа.
Пусть во 2-ой клетке 5 кроликов.
Но в 3-ей клетке должен быть хотя бы 1 кролик, а тогда во 2-ой клетке у каждого будет по 8 соседей, что невозможно.
ответ 3: 4 кролика.
4) Больше 3 кроликов в 1-ой клетке быть не может, тогда во 2-ой клетке у каждого будет по 8 соседей, что невозможно.
Итак, мы получили, что в любом случае в 3-ей (средней) клетке сидит 4 кролика.
Причем только в одном случае расположение кроликов было симметричным относительно средней клетки.
Відповідь: 50км/год.; 56км/год.
Пошаговое объяснение:
х км/год .- швидкість першого автобуса.
х+6 (км/год.) - швидкість другого автобуса.
1,5х (км) - відстань, яку за 1,5 год. пройде до зустрічі перший автобус.
1,5(х+6) (км) - відстань, яку за 1,5 год. пройде до зустрічі другий автобус.
1,5+1,5(х+6)=159 (км) - відстань між містами, з яких назустріч виїхали автобуси, за умовою задачі.
Тоді:
1,5х+1,5(х+6)=159
1,5х+1,5х+1,5*6=159
3х+9=159
3х=159-9
3х=150
х=150/3
х=50 (км/год.) - швидкість першого автобуса.
50+6=56 (км/год.) - швидкість другого автобуса.
Перевірка:
50*1,5+56*1,5=75+84=159 (км) - відстань між містами, з яких назустріч виїхали автобуси.
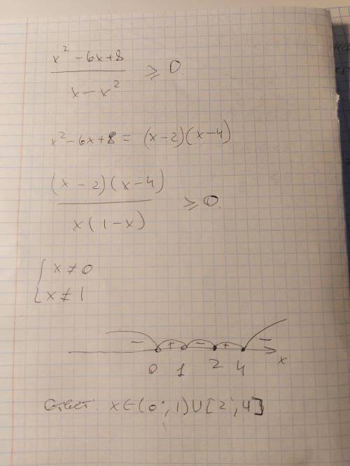
x∈(0;1)∪[2;4]
Пошаговое объяснение: