Распределительный закон умножения это чтобы умножить сумму на число, надо умножить каждое слагаемое умножить на число и найти сумму. Так проще вычислять, лучше сумму с числа делать так, чтобы круглых чисел (с нулями) больше было (32•5= (30+2)•5= 30•5+2•5= 150+10=60; в 30•5 просто 3•5=15 и ноль переписываем, того круглые числа удобно делать); но можно число на любые удобные слагаемые разложить
Распределительный закон умножения это чтобы умножить сумму на число, надо умножить каждое слагаемое умножить на число и найти сумму. Так проще вычислять, лучше сумму с числа делать так, чтобы круглых чисел (с нулями) больше было (32•5= (30+2)•5= 30•5+2•5= 150+10=60; в 30•5 просто 3•5=15 и ноль переписываем, того круглые числа удобно делать); но можно число на любые удобные слагаемые разложить
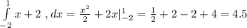
S1(синий)=


S2(розовый)=
Sфиг.=
Графики во вложении.