М
Молодежь
К
Компьютеры-и-электроника
Д
Дом-и-сад
С
Стиль-и-уход-за-собой
П
Праздники-и-традиции
Т
Транспорт
П
Путешествия
С
Семейная-жизнь
Ф
Философия-и-религия
Б
Без категории
М
Мир-работы
Х
Хобби-и-рукоделие
И
Искусство-и-развлечения
В
Взаимоотношения
З
Здоровье
К
Кулинария-и-гостеприимство
Ф
Финансы-и-бизнес
П
Питомцы-и-животные
О
Образование
О
Образование-и-коммуникации
olyavlas23
olyavlas23
26.03.2021 17:32 •  Математика

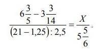
умоляю. Применить свойства пропорции​


умоляю. Применить свойства пропорции​

👇
Ответ:
Maльчик
Maльчик
26.03.2021

Пошаговое объяснение:


умоляю. Применить свойства пропорции​
4,5(54 оценок)
Открыть все ответы
Ответ:
liliakolokol
liliakolokol
26.03.2021
В задаче используем рисунок  в приложении. Чтобы он был больше похож на план комнаты изобразим на нём дверь и окно.
Масштаб на планах (картах, чертежах) записывают тремя разными
1 - численный масштаб -  отношение размеров на плане и в действительности в одинаковых единицах длины.
Например: М = 1 : 100 - размеры на плане уменьшены в 100 раз. 
2 - именованный масштаб - указано отношение в разных единицах длины.
Например: В 1 см - 1 м. Здесь словами записано отношение = 1 см = 100 см.
3 - на больших картах используют линейный масштаб - небольшой отрезок линейки с дополнительными делениями и указанием размера единичного отрезка.
Нередко на планах  показывают ещё и направление сторон света - это удобно, например, на планах квартир - можно узнать на какую сторону выходят окна.
РЕШЕНИЕ
Размер клетки в тетради - 5 мм.но для более точных расчетов понадобится оцифрованная линейка (с делениями).
Измеряем размеры сторон прямоугольника в миллиметрах и умножаем на число обратное  масштабу - не делим на 1/100, у умножаем на 100. 
Длина  - 50 мм * 100 = 5000 мм = 500 см = 5 м - длина комнаты
Ширина - 30 мм *100 = 3 м - ширина комнаты.
Измерим ширину окна - 13 мм * 100 = 1300 мм = 130 см - окно.
Измерим ширину двери на плане - 9 мм * 100 = 900 мм - 90 см - дверь.
На рисунке 1.7 изображен план комнаты в масштабе 1: 100.найдите длину и ширину комнаты (картинки нет
4,4(56 оценок)
Ответ:
Даниад
Даниад
26.03.2021
В задаче используем рисунок  в приложении. Чтобы он был больше похож на план комнаты изобразим на нём дверь и окно.
Масштаб на планах (картах, чертежах) записывают тремя разными
1 - численный масштаб -  отношение размеров на плане и в действительности в одинаковых единицах длины.
Например: М = 1 : 100 - размеры на плане уменьшены в 100 раз. 
2 - именованный масштаб - указано отношение в разных единицах длины.
Например: В 1 см - 1 м. Здесь словами записано отношение = 1 см = 100 см.
3 - на больших картах используют линейный масштаб - небольшой отрезок линейки с дополнительными делениями и указанием размера единичного отрезка.
Нередко на планах  показывают ещё и направление сторон света - это удобно, например, на планах квартир - можно узнать на какую сторону выходят окна.
РЕШЕНИЕ
Размер клетки в тетради - 5 мм.но для более точных расчетов понадобится оцифрованная линейка (с делениями).
Измеряем размеры сторон прямоугольника в миллиметрах и умножаем на число обратное  масштабу - не делим на 1/100, у умножаем на 100. 
Длина  - 50 мм * 100 = 5000 мм = 500 см = 5 м - длина комнаты
Ширина - 30 мм *100 = 3 м - ширина комнаты.
Измерим ширину окна - 13 мм * 100 = 1300 мм = 130 см - окно.
Измерим ширину двери на плане - 9 мм * 100 = 900 мм - 90 см - дверь.
На рисунке 1.7 изображен план комнаты в масштабе 1: 100.найдите длину и ширину комнаты (картинки нет
4,4(40 оценок)
Это интересно:
Новые ответы от MOGZ: Математика
logo
Вход Регистрация
Что ты хочешь узнать?
Спроси Mozg
Открыть лучший ответ