f(x)=(2x+6)/(X^2-5)
Найдем производную
y'= (2(x^2-5)-(2x+6)*2x)/(x^2-5)^2 = (2x^2-10-4x^2-12x)/(x^2-5)^2 =
=(-2x^2-12x-10)/(x^2-5)^2 =-2(x^2+6x+5)/(x^2-5)^2
Находим экстремумы функции
x^2+6x+5 =0
D =36-20 =16
x1=(-6-4)/2=-5 x2=(-6+4)/2 =-1
Учтем что x^2-5 не равно 0
x3 не равно - корень(5)
x4 не равно корень(5)
В точках x3 и x4 прозводная знак не меняет
На числовой прямой найдем знаки производной
- 0 + 0 -
!!
-5 -1
Видно что локальный минимум находится в точке х = -5
Значение функции равно
у(-5) = (2*(-5)+6)/((-5)^2-5)=(-10+6)/(25-5) = -4/20 =-1/5 =-0,2
ответ точка локального минимума в x=-5
1. 3,34 + 28,7 = 32,04
2. 7 = 7/1; 14/2; 21/3; 28/4; 35/5 и т.д.
3. 1ч + 2ч = 3 ч - длится спектакль
4. 0,34 * 0,8 = 0,272
5. 20,4 : 0,8 = 25,5
6. 1 км = 1000 м 0,002 км * 1000 м = 2 м
7. S = a * a S = 11 * 11 = 121 (кв.см)
8. 3,784; 3,7801; 3,78
9. 3,46 * 10 + 23 = 346 + 23 = 369
10. Сумма смежных углов 180 градусов; 180 - 23 = 157 градусов второй угол
11. 22 : 55 * 100 = 40 человек в классе
12. S = 10 * (10 : 4) = 10 * 2,5 = 25 (кв.см)
13. 62 : 100 * 15 = 9,3 (кг) - продали; 62 - 9,3 = 52,7 (кг) - осталось продать
14. Прямой угол равен 90 градусов.
15. 8у = 24,1 - 5,7
8у = 18,4; у = 18,4 : 8; у = 2,3
16. 18,3 - 2,6 = 15,7 (км/ч) - собственная скорость лодки
15,7 - 2,6 = 13,1 (км/ч) - скорость лодки против течения реки
17. (20000 * 6) : 100 * 5 = 6000 (руб) - скидка
20000 * 6 - 6000 = 114000 (руб) - надо заплатить
18. х - один угол, 2х - второй
180 : (х + 2х) = 180 : 3х; х = 180 : 3 = 60 (градусов) - первый угол; 60 * 2 = 120 (градусов) - второй угол

= 10,5 (р)
≈ 4 пончика
≈ 2 пончика
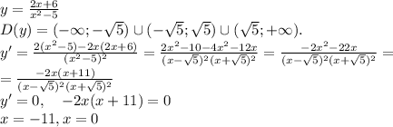
- + + - -
-------|--------o--------|-------o-------->
-11 -√5 0 √5
В окрестности точки х=-11 производная меняет знак с - на +, значит, х=-11 - точка локального минимума.
В окрестности точки х=0 производная меняет знак с + на -, значит, х=0 - точка локального максимума.
ответ: х=-11-точка локального минимума.