М
Молодежь
К
Компьютеры-и-электроника
Д
Дом-и-сад
С
Стиль-и-уход-за-собой
П
Праздники-и-традиции
Т
Транспорт
П
Путешествия
С
Семейная-жизнь
Ф
Философия-и-религия
Б
Без категории
М
Мир-работы
Х
Хобби-и-рукоделие
И
Искусство-и-развлечения
В
Взаимоотношения
З
Здоровье
К
Кулинария-и-гостеприимство
Ф
Финансы-и-бизнес
П
Питомцы-и-животные
О
Образование
О
Образование-и-коммуникации
borkunovanasta
borkunovanasta
11.09.2020 16:00 •  Математика

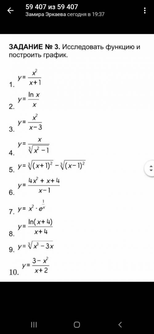
Как это решить буду очень рад 3 задание


Как это решить буду очень рад 3 задание

👇
Ответ:
DahenkaSi05
DahenkaSi05
11.09.2020

Пошаговое объяснение

0=x/x-3                             x не должен равняться 3

x/x-3=0

Когда частное выражение равно 0, числитель должен быть равным 0

x=0 x не=3

следовательно 1 корень и x=0

на графике должна быть изображена парабола


Как это решить буду очень рад 3 задание
4,8(48 оценок)
Открыть все ответы
Ответ:
JollyWolf
JollyWolf
11.09.2020
1)6-5х/3=8
    6-5х = 24
    - 5х = 24 - 6
      -5х = 18
       - х = 18 : 5
       - x = 3,6
         x = - 3,6
      
2) 2х + (¹/₃₇×1¹/₉) × (-2¹/₄) = - ³/₄
¹/₃₇×1¹/₉ = ¹/₃₇×¹⁰/₉ = ¹⁰/₃₇ₓ₉ = ¹⁰/₃₃₃
¹⁰/₃₃₃× (-2¹/₄) = ¹⁰/₃₃₃× (-⁹/₄) = - ¹⁰ˣ⁹/₃₃₃ₓ₄ = - ¹⁰/₃₇ₓ₄ = - ¹⁰/₁₄₈
тогда
2х + ( - ¹⁰/₁₄₈) = - ³/₄
2x - ¹⁰/₁₄₈ = - ³/₄
2x = - ³/₄ + ¹⁰/₁₄₈
2x = -³⁷ˣ³/₁₄₈ + ¹⁰/₁₄₈
2x = - ¹¹¹/₁₄₈ + ¹⁰/₁₄₈
2x = ⁻¹¹¹⁺¹⁰/₁₄₈
2x = - ¹⁰¹/₁₄₈
x = ( - ¹⁰¹/₁₄₈) : 2
x = ( - ¹⁰¹/₁₄₈) × ¹/₂
x = - ¹⁰¹/₁₄₈ₓ₂
x = - ¹⁰¹/₂₉₆
Проверка
2(- ¹⁰¹/₂₉₆)+ (¹/₃₇×1¹/₉) × (-2¹/₄) = - ³/₄
-²⁰²/₂₉₆ + ¹⁰/₃₃₃× (-⁹/₄) = - ³/₄
-²⁰²/₂₉₆ - ¹⁰ˣ⁹/₃₃₃ₓ₄ = - ³/₄
-²⁰²/₂₉₆ - ⁵ˣ³/₁₁₁ₓ₂ = - ³/₄
-²⁰²/₂₉₆ - ⁵/₇₄ = - ³/₄
-²⁰²/₂₉₆ - ²⁰/₂₉₆ = - ³/₄
-²⁰²⁻²⁰/₂₉₆ = - ³/₄
-²²²/₂₉₆ = - ³/₄
     - ³/₄ = - ³/₄
4,4(49 оценок)
Ответ:
Mint231
Mint231
11.09.2020
1)6-5х/3=8
    6-5х = 24
    - 5х = 24 - 6
      -5х = 18
       - х = 18 : 5
       - x = 3,6
         x = - 3,6
      
2) 2х + (¹/₃₇×1¹/₉) × (-2¹/₄) = - ³/₄
¹/₃₇×1¹/₉ = ¹/₃₇×¹⁰/₉ = ¹⁰/₃₇ₓ₉ = ¹⁰/₃₃₃
¹⁰/₃₃₃× (-2¹/₄) = ¹⁰/₃₃₃× (-⁹/₄) = - ¹⁰ˣ⁹/₃₃₃ₓ₄ = - ¹⁰/₃₇ₓ₄ = - ¹⁰/₁₄₈
тогда
2х + ( - ¹⁰/₁₄₈) = - ³/₄
2x - ¹⁰/₁₄₈ = - ³/₄
2x = - ³/₄ + ¹⁰/₁₄₈
2x = -³⁷ˣ³/₁₄₈ + ¹⁰/₁₄₈
2x = - ¹¹¹/₁₄₈ + ¹⁰/₁₄₈
2x = ⁻¹¹¹⁺¹⁰/₁₄₈
2x = - ¹⁰¹/₁₄₈
x = ( - ¹⁰¹/₁₄₈) : 2
x = ( - ¹⁰¹/₁₄₈) × ¹/₂
x = - ¹⁰¹/₁₄₈ₓ₂
x = - ¹⁰¹/₂₉₆
Проверка
2(- ¹⁰¹/₂₉₆)+ (¹/₃₇×1¹/₉) × (-2¹/₄) = - ³/₄
-²⁰²/₂₉₆ + ¹⁰/₃₃₃× (-⁹/₄) = - ³/₄
-²⁰²/₂₉₆ - ¹⁰ˣ⁹/₃₃₃ₓ₄ = - ³/₄
-²⁰²/₂₉₆ - ⁵ˣ³/₁₁₁ₓ₂ = - ³/₄
-²⁰²/₂₉₆ - ⁵/₇₄ = - ³/₄
-²⁰²/₂₉₆ - ²⁰/₂₉₆ = - ³/₄
-²⁰²⁻²⁰/₂₉₆ = - ³/₄
-²²²/₂₉₆ = - ³/₄
     - ³/₄ = - ³/₄
4,6(25 оценок)
Это интересно:
Новые ответы от MOGZ: Математика
logo
Вход Регистрация
Что ты хочешь узнать?
Спроси Mozg
Открыть лучший ответ