
часа. То есть фляга от первого моста до второго (расстояние между ними 1 км) проплыла со скоростью течения реки по времени
часа.
часа до обнаружения исчезновения фляги. Этот участок он проплыл со скоростью (х-а) км/ч. А все это расстояние равно
км.
км. Скорость равна (х+а) км/ч. Значит времени он потратит
часов.
часов.


. Так как эти члены взаимоуничтожаются.
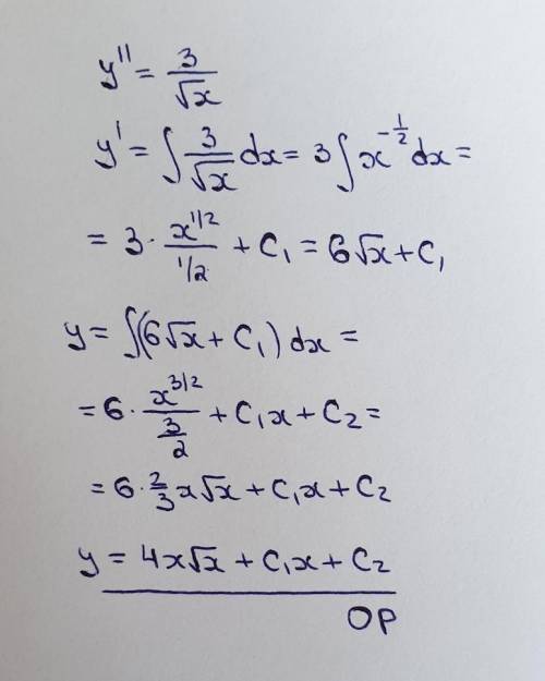
решение на фотографии.