М
Молодежь
К
Компьютеры-и-электроника
Д
Дом-и-сад
С
Стиль-и-уход-за-собой
П
Праздники-и-традиции
Т
Транспорт
П
Путешествия
С
Семейная-жизнь
Ф
Философия-и-религия
Б
Без категории
М
Мир-работы
Х
Хобби-и-рукоделие
И
Искусство-и-развлечения
В
Взаимоотношения
З
Здоровье
К
Кулинария-и-гостеприимство
Ф
Финансы-и-бизнес
П
Питомцы-и-животные
О
Образование
О
Образование-и-коммуникации
evabelova25
evabelova25
12.03.2021 23:22 •  Математика

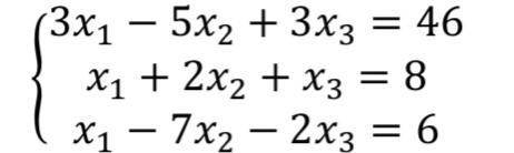
Решить систему уравнений тремя : 1. Пользуясь формулами Крамера;
2. Матричным методом;
3. Методом последовательного исключения неизвестных (методом Гаусса).


Решить систему уравнений тремя : 1. Пользуясь формулами Крамера; 2. Матричным методом; 3. Методом по

👇
Открыть все ответы
Ответ:
Mafg
Mafg
12.03.2021
Всего 28 костей домино: 7 дублей и 21 с разными числами.  Числа от 0 до 6. Количество вариантов выбора 2 костей равно 28*27=756. Порядок имеет значение. Это используем и дальше. Подсчитаем количество благоприятных случаев (чтобы кости подходили, т.е. совпадало хотя бы по одому значению на обеих костях). Если первая кость дубль, то это 7 вариантов. К ней подходит 6 "не дублей". Всего 7*6=42 Если первая  - "не дубль", то таких костей 21. К первому числу подходит 6 костей и ко второму числу 6 костей, значит для первой кости - "не дубль" подходит 12 вариантов, а всего благоприятных исходов 21*12 = 252. Общее кол-во благоприятных исходов 42+252 = 294. Р = 294/756 = 0,388...≈ 0,389 
4,4(64 оценок)
Ответ:
1.Идет(что делает?-несов.в)=>пойдет;
2.Помахивает(что делает?-несов.в)=>махать;
3.Потряхивает(что делает?-несов.в)=>трясти;
4.Постукивает(что делает?-несов.в)=>стучать;
5.Блеет(что делает?-несов.в)=>поблеет;
6.Зовёт(что делает?-несов.в)=>позвать;
7.Ушли(что сделали?-сов.в)=>шли;
8.Щиплют(что делают?-несов.в)=>пощиплют;
9.Гложут(что делают?-несов.в)=> погложут;
10.Копят(что делают?-несов.в)=>накопят;
11.Насосались(что сделали?-сов.в)=>сосались;
12.Забрались(что сделали?-сов.в)=>брать;
13.Подрались(что сделали?-сов.в)=>драться;
14.Погодите(что сделайте?-сов.в)=>ждать;
15.Придёт(что сделает?-сов.в)=>идёт;
16.Задаст(что сделает?-сов.в)=>дать;
4,8(59 оценок)
Это интересно:
Новые ответы от MOGZ: Математика
logo
Вход Регистрация
Что ты хочешь узнать?
Спроси Mozg
Открыть лучший ответ