
2401=(2+4+0+1)^4=7^4
Пошаговое объяснение:
Минимальная сумма цифр 1
Максимальная сумма цифр -36
Результат вычисления корня четвертой степени из исходного числа должен быть целым, поэтому смотрим в таблицу квадратов, где ищем среди чисел от 32 до 99 (результат ищем среди чисел от 1000 до 9999), такие, что они бы сами были квадрата со целых чисел. Находим: 36, 49, 81.
Получаем 1296, 2401 и 6561. Теперь суммируем цифры каждого числа в отдельности и возводим в 4 степень, сравниваем результат.
Нехитрыми вычислениями находим ответ: 2401=(2+4+0+1)^4=7^4
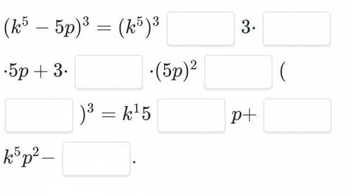
Пошаговое объяснение:
1) -
2) 5p*(k^5)^2
3)k^5
4) -
5)5p
6)+15k^10*
7)75
8)125p^3