М
Молодежь
К
Компьютеры-и-электроника
Д
Дом-и-сад
С
Стиль-и-уход-за-собой
П
Праздники-и-традиции
Т
Транспорт
П
Путешествия
С
Семейная-жизнь
Ф
Философия-и-религия
Б
Без категории
М
Мир-работы
Х
Хобби-и-рукоделие
И
Искусство-и-развлечения
В
Взаимоотношения
З
Здоровье
К
Кулинария-и-гостеприимство
Ф
Финансы-и-бизнес
П
Питомцы-и-животные
О
Образование
О
Образование-и-коммуникации

матем линейные неравенства с одной переменной 6 класс всё на картинке ​


матем линейные неравенства с одной переменной 6 класс всё на картинке ​

👇
Ответ:
bilayenot
bilayenot
16.12.2021

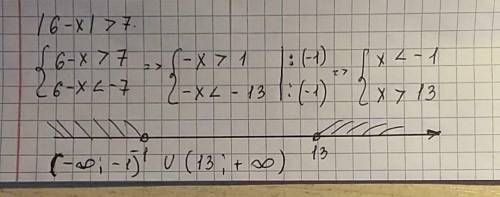
см фото

Пошаговое объяснение:


матем линейные неравенства с одной переменной 6 класс всё на картинке ​
4,6(27 оценок)
Открыть все ответы
Ответ:
KitBanin
KitBanin
16.12.2021
Если голосование, то нужно, чтобы два решения были точно верные. Дано:р1 - вероятность принятия верного решения первым человекомр2 - вероятность принятия верного решения вторым человекомр3=0,5 - вероятность принятия верного решения третьим человекомq1=1-р - вероятность ошибки первого человекаq2=1-р - вероятность ошибки второго человекаq3=р3 - вероятность ошибки третьего человека (т.к. вероятность удачи/неудачи при подбрасывании монеты 1/2)Теперь запишем условия голосования:Верное решение будет принято, если ХОТЯ БЫ два решения из трёх будут верные.Первое выражение: P = p1*p2*p3 + p1*p2*q3 + p1*q2*p3 + q1*p2*p3Второе: Р = 1 - (q1*q2*q3 + q1*q2*p3 + q1*p2*q3 + p1*q2*3q)1) тут мы просуммировали все вероятности удачного исхода2) тут мы отняли от суммарное вероятности всех событий (1) вероятность неудочных исходов.Оба решения верные и по идее ответ должен получиться в любом из них таким же, как и во втором
4,7(50 оценок)
Ответ:
mrrr15
mrrr15
16.12.2021
Р-вероятность, что первый или второй вынесли правильное решение, (1-р) -первый или второе вынесли неправильное решение. 0,5-третий вынес правильное решение, 0,5- третий вынес неправильное решение. Нам нужно большинство голосов, значит, достаточно двух правильных решений 1)первый и второй правильное, а третий-нет : р*р*0,5=0,5р^. 2)первый и третий правильно, а второй-нет: Р*0,5*(1-р)=0,5р-0,5р^. 3) второй и третий правы, а первый нет: Р*0,5*(1-р)= 0,5р-0,5р^. Искомая сумма вероятностей: 0,5р^+0,5р-0,5р^+0,5р-0,5р^= р-0,5р^- вероятность принять правильное решение.
4,8(26 оценок)
Это интересно:
Новые ответы от MOGZ: Математика
logo
Вход Регистрация
Что ты хочешь узнать?
Спроси Mozg
Открыть лучший ответ