М
Молодежь
К
Компьютеры-и-электроника
Д
Дом-и-сад
С
Стиль-и-уход-за-собой
П
Праздники-и-традиции
Т
Транспорт
П
Путешествия
С
Семейная-жизнь
Ф
Философия-и-религия
Б
Без категории
М
Мир-работы
Х
Хобби-и-рукоделие
И
Искусство-и-развлечения
В
Взаимоотношения
З
Здоровье
К
Кулинария-и-гостеприимство
Ф
Финансы-и-бизнес
П
Питомцы-и-животные
О
Образование
О
Образование-и-коммуникации

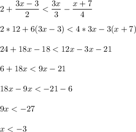
2+ 3x-3/2 < 3x/3 - x+7/4

👇
Ответ:
airfgh
airfgh
30.03.2022

Решим ваше неравенство шаг за шагом.

2 + 3x − 3/2 <3x / 3 − x + 7/4

Шаг 1. Упростите обе части неравенства.

3x + 1/2 <7/4

Шаг 2: вычтите 1/2 с обеих сторон.

3x + 1 / 2−1 / 2 <7 / 4−1 / 2

3x <5/4

Шаг 3: разделите обе стороны на 3.

3x / 3 <5/4 / 3x <5/12

Пошаговое объяснение:

4,7(21 оценок)
Ответ:
alexandrvseznaika
alexandrvseznaika
30.03.2022

\displaystyle2+\frac{3x-3}{2}

4,5(67 оценок)
Открыть все ответы
Ответ:
1sanita
1sanita
30.03.2022
Бальса, или заячье дерево ( Ochroma lagopus Sw.), Семейство Баобабовые (Bombaceae) - высокое, свыше 30 м дерево с голубовато-серой корой и крупными пальчатыми листьями. Плоды при созревании растрескиваются и тогда напоминают заячьи лапки, так как внутри они покрыты белым пухом. Название «бальса» в переводе с испанского означает плот: древесина его издавна использовалась для строительства плотов. Древесина бальсы одна из самых легких в мире, очень рыхлая и мягкая, но высушенная, приобретает твердость дуба. В настоящее время бальса почти полностью исчезла из лесов Америки, сохранившись в небольшом количестве только в сырых дождевых лесах Эквадора.
4,6(56 оценок)
Ответ:
Maxi2007
Maxi2007
30.03.2022
Пусть искомое время х тогдаРасстояние первого пешехода от города равно 7+4хРасстояние второго пешехода от города равно 10+5хПоскольку дороги перпендикулярны то расстояние между пешеходами находится по теореме Пифагора и равно 25 Тогда(7+4х)^2 + (10+5х)^2 = 625 После возведения в квадрат и приведения подобных получим квадратное уравнение41х^2 +156х-476=0Дискриминант равен 156^2-4*41*(-476) = 102400Корень квадратный из дискриминанта равен 320Тогда первый корень квадратного уравнения = -476/82 отрицательный и не подходитвторой корень равен (-156+320)/2*41 = 2ответ Через 2 часа расстояние между пешеходами будет 25 км
4,5(43 оценок)
Это интересно:
Новые ответы от MOGZ: Математика
logo
Вход Регистрация
Что ты хочешь узнать?
Спроси Mozg
Открыть лучший ответ