
Первую задачу не знаю как делать но вот вторую сделал
Задача 2
25 (км/час) - собственная скорость лодки
5 (км/час) - скорость течения
х - собственная скорость лодки
у - скорость течения реки
х+у - скорость лодки по течению
х-у - скорость лодки против течения
60/(x+y) - время лодки по течению
60/(х-у) - время лодки против течения составляем систему уравнений:
60/(x+y) =2
60/(х-у) =3
Избавляемся от дробного выражения, для этого обе части первого уравнения умножим на (х+у), а обе части второго уравнения умножим на (х-у):
60=2(х+у)
60=3(х-у), или
2(х+у) = 60, сократим на 2
3(х-у) = 60, сократим на 3, получили систему:
х+у=30 х=30-у
х-у=20 30-у-у=20 -2у= -10 у=5 (км/час) - скорость течения
х=30-5 х=25 (км/час) - собственная скорость лодки
22м²
пошаговая инструкция
рис. 1 )
Найдем площадь всего прямоугольника и вычтем площадь не закрашенной части .
So- общая площадь фигуры
Sнз- площадь не закрашенной части
Sз - площадь закрашенной части
а= 4 м
b= 6 м
Sо=a*b= 6*4= 24 м²
с= 1 м
d= 2 м
Sнч= c*d= 1*2= 2 м²
Sз=So-Sнз
Sp= 24 - 2 = 22м²
рис. 2 )
Разделим закрашенную часть на две части
1-я часть прямоугольник со сторонами
а= 6-1=5 м
b= 4 м
2-я часть прямоугольник со сторонами
с= 1 м
d= 2 м
Тогда площадь закрашенной части фигуры будет :
S= (a*b) + ( c*d) = 5*4+2*1= 20+2= 22 м²
рис. 3)
Площадь закрашенной части состоит из двух прямоугольников
первый со сторонами
а= 2 м
b= 6 м
второй
с=5 м
d= 2 м
Сложим их площади и найдем площадь закрашенной части
S= (a*b)+ (c*d)= 2*6+5*2= 12+10 = 22 м²
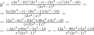
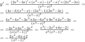
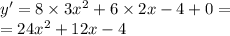
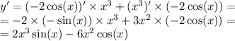
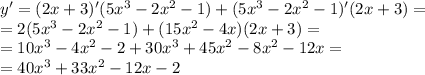
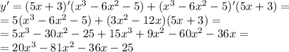
1.
а)
б)
в)
г)
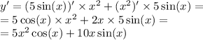
2.
а)
б)
в)
г)