М
Молодежь
К
Компьютеры-и-электроника
Д
Дом-и-сад
С
Стиль-и-уход-за-собой
П
Праздники-и-традиции
Т
Транспорт
П
Путешествия
С
Семейная-жизнь
Ф
Философия-и-религия
Б
Без категории
М
Мир-работы
Х
Хобби-и-рукоделие
И
Искусство-и-развлечения
В
Взаимоотношения
З
Здоровье
К
Кулинария-и-гостеприимство
Ф
Финансы-и-бизнес
П
Питомцы-и-животные
О
Образование
О
Образование-и-коммуникации
НатаЛини
НатаЛини
20.03.2022 16:32 •  Математика

Найдите сумму ста пераых нечетных целых положительных чисел

👇
Ответ:
Kate905
Kate905
20.03.2022
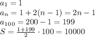
a_1=1
\\\
a_n=1+2(n-1)=2n-1
\\\
a_1_0_0=200-1=199
\\\
S= \frac{1+199}{2} \cdot100=10000
ответ: 10000
4,8(42 оценок)
Открыть все ответы
Ответ:
vasx
vasx
20.03.2022

сбор хлопка

Я вижу перед собой картину на

которой изображены девушки

которые собирают хлопок.

На дальнем плане изображенны

машины которые увозят мешки с

хлопком.хлопок растёт на большом

поле .

На переднем плане изображены люди

которые собирают хлопок .Женщины

очень старательно собирали хлопок.

Раньше не было современных

хлопкоуборочных машин но были

машины которые всё же

уберать хлопок.

Труд собирать хлопок не очень то и

прост потому что он требует сил.

В этой картине осень хорошо

изображены люди и хлопок видно как

трудятся женщины

Когда я рассматриваю людей которые

трудятся мне становится жалко но

если не трудится не чего не будет .мне

понравилась эта картина!

4,5(16 оценок)
Ответ:
YAMAHAv
YAMAHAv
20.03.2022

ответ: 30 фунта чая первого сорта и 10 фунтов чая второго сорта

Пошаговое объяснение:

2 руб. 75 коп = 275 коп.

2 руб. 15 коп. = 215 коп.

2 руб. 60 коп. = 260 коп.

275 - 215 = 60 коп. на столько дороже стоимость чая первого сорта, чем второго

Узнаем сколько стоит смесь из двух сортов чая  

260 * 40 =  10400 коп.

Определим сколько могла стоить смесь, если бы она была второго сорта

215 * 40 = 8600 коп.

Отсюда вычислим сколько потрачено на чай первого сорта

10400 - 8600 = 1800 коп.

Найдем  столько  было взято чая первого сорта  

1800 : 60 = 30 фунтов

Тогда соответственно чая второго сорта было взято

40 -30= 10 фунтов

4,5(82 оценок)
Новые ответы от MOGZ: Математика
logo
Вход Регистрация
Что ты хочешь узнать?
Спроси Mozg
Открыть лучший ответ