М
Молодежь
К
Компьютеры-и-электроника
Д
Дом-и-сад
С
Стиль-и-уход-за-собой
П
Праздники-и-традиции
Т
Транспорт
П
Путешествия
С
Семейная-жизнь
Ф
Философия-и-религия
Б
Без категории
М
Мир-работы
Х
Хобби-и-рукоделие
И
Искусство-и-развлечения
В
Взаимоотношения
З
Здоровье
К
Кулинария-и-гостеприимство
Ф
Финансы-и-бизнес
П
Питомцы-и-животные
О
Образование
О
Образование-и-коммуникации
KitKat321456
KitKat321456
22.11.2021 11:44 •  Математика

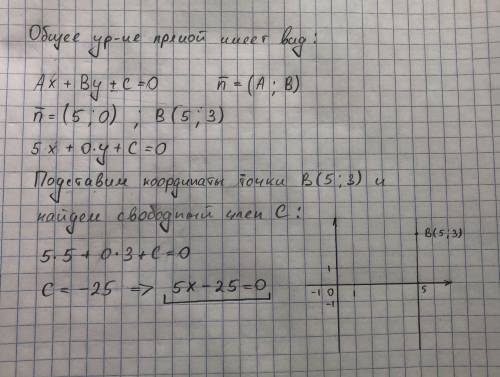
Составить уравнение прямой, проходящей через точку В (5; 3) и имеющей нормальный вектор = (5; 0). Можете расписать

👇
Ответ:
MILKovka
MILKovka
22.11.2021

Все на пикче, братан


Составить уравнение прямой, проходящей через точку В (5; 3) и имеющей нормальный вектор = (5; 0). Мо
4,4(22 оценок)
Открыть все ответы
Ответ:
DashaT141
DashaT141
22.11.2021

НОК чисел -это наименьшее число, делящееся на все три. без остатка.

Я обычно выбираю самое большое и проверяю, если оно не делится на остальные, умножаю его на 2;3;4.. , пока не разделится. Если не получается, то тогда по алгоритму.

Раскладываете не простые множители.

245=5*7*7

175=5*5*7

140=2*2*5*7

берете самое большое, в нем 5*7*7 и домножаите на те множители, которых не хватает. сначала у числа 175 заимствуете 5, остальные есть. 5*7*7*5, затем забираете у 140 недостающие две двойки.

получаете 5*7*7*5*2*2=100*49=4900

4,6(55 оценок)
Ответ:
zinovevartem2017
zinovevartem2017
22.11.2021

НОК чисел -это наименьшее число, делящееся на все три. без остатка.

Я обычно выбираю самое большое и проверяю, если оно не делится на остальные, умножаю его на 2;3;4.. , пока не разделится. Если не получается, то тогда по алгоритму.

Раскладываете не простые множители.

245=5*7*7

175=5*5*7

140=2*2*5*7

берете самое большое, в нем 5*7*7 и домножаите на те множители, которых не хватает. сначала у числа 175 заимствуете 5, остальные есть. 5*7*7*5, затем забираете у 140 недостающие две двойки.

получаете 5*7*7*5*2*2=100*49=4900

4,8(41 оценок)
Это интересно:
Новые ответы от MOGZ: Математика
Полный доступ к MOGZ
Живи умнее Безлимитный доступ к MOGZ Оформи подписку
logo
Вход Регистрация
Что ты хочешь узнать?
Спроси Mozg
Открыть лучший ответ