М
Молодежь
К
Компьютеры-и-электроника
Д
Дом-и-сад
С
Стиль-и-уход-за-собой
П
Праздники-и-традиции
Т
Транспорт
П
Путешествия
С
Семейная-жизнь
Ф
Философия-и-религия
Б
Без категории
М
Мир-работы
Х
Хобби-и-рукоделие
И
Искусство-и-развлечения
В
Взаимоотношения
З
Здоровье
К
Кулинария-и-гостеприимство
Ф
Финансы-и-бизнес
П
Питомцы-и-животные
О
Образование
О
Образование-и-коммуникации
LeraSmile12
LeraSmile12
28.07.2022 21:36 •  Математика

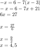
-x=6-7(x-3) решить уравнение​

👇
Ответ:
Mashoo4rik
Mashoo4rik
28.07.2022

Відповідь:

-x=6-7(x-3)\\-x=6-7x+21\\6x=27\\\\x=\frac{27}{6} \\\\x=\frac{9}{2} \\x=4,5

Покрокове пояснення:

4,8(11 оценок)
Открыть все ответы
Ответ:
сергей1074
сергей1074
28.07.2022

1. Найдите производную функции f(x)=(x-1)*√(x -1) и  f' (3)=?

Производную ищем по формуле: (UV)'= U"V + UV'

f'(x) = (x-1)' *√(x -1)  + (x-1)* (√(x -1) )'= √(x -1)  + (x -1)*1/  (2√(x -1)) =

=(2(x -1) + x - 1)/2√(x -1) = (2x -2 +x -1)/2√(x -1) = (3x -3)/2√(x -1) ,

f'(3) = 6/2√2 = 6√2/4 = 1,5√2

2. найти производную f(z)=√(z-2)/z  и f'(2)

Производную ищем по формуле : (U/V)' = (U'V - UV')V²

f'(z) = (1/2√(z-2) *z- √(z -2))/z² = (4 - z)/2z²*√(z - 2)

f'(2) = не существует.

Подробнее - на -

Пошаговое объяснение:

4,5(44 оценок)
Ответ:
Алька0511
Алька0511
28.07.2022

1)у= -3х +2; у= -3х -1

-эти графики параллельны графику функции у= -3х- 4,т к у них одинаковые коэффициенты = -3)

3)y = 1/3 x- 4

будет перпендикулярна графику функции у= -3х -4(графики перепендикулярны,если произведение их коэффициентов равно -1): 1/3•(-3)= -1 )

4) у= -3х -4

графики функции совпадают ,когда формулы функций одинаковы

2)Возьмем точку графика А функции у= -3х-4 :

А(-1; -1)   ,тогда в этой точке будут проходить также функции:

у=х

у= -1 (график прямой будет параллелен оси ОХ и проходить через точку у=-1),

у=2х+1

Все эти три функции будут пересекаться в одной точке А(-1;-1)

с данной.

Удачи!А на 100 р.купи себе лучше чего-нибудь вкусненького)))

4,8(6 оценок)
Это интересно:
Новые ответы от MOGZ: Математика
logo
Вход Регистрация
Что ты хочешь узнать?
Спроси Mozg
Открыть лучший ответ