М
Молодежь
К
Компьютеры-и-электроника
Д
Дом-и-сад
С
Стиль-и-уход-за-собой
П
Праздники-и-традиции
Т
Транспорт
П
Путешествия
С
Семейная-жизнь
Ф
Философия-и-религия
Б
Без категории
М
Мир-работы
Х
Хобби-и-рукоделие
И
Искусство-и-развлечения
В
Взаимоотношения
З
Здоровье
К
Кулинария-и-гостеприимство
Ф
Финансы-и-бизнес
П
Питомцы-и-животные
О
Образование
О
Образование-и-коммуникации
observatorshkip06tpd
observatorshkip06tpd
01.11.2022 22:34 •  Математика

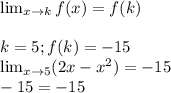
Исследовать функцию на непрерывность f(x) = 2x - x^2 в точке х=5

👇
Ответ:
lisisiisissi
lisisiisissi
01.11.2022

Пошаговое объяснение:

функция непрерывна в точке , если предел функции в данной точке равен значению функции в этой точке.

\lim_{x \to k} f(x) = f(k)\\\\k = 5; f(k) = -15\\ \lim_{x \to 5} (2x-x^2) = -15\\-15 = -15

4,7(71 оценок)
Открыть все ответы
Ответ:
пупсикг
пупсикг
01.11.2022
Макет вулкана
Понадобится :пластиковая бутылка, соленное тесто ( на стакан муки 5 ст. ложек соли,ложка под солнечного масла, такая масса застывает) гуашеввые краски , картонный поднос , сода, красный краситель (не обязательно), уксус
Берем пластиковую бутылку (1л или меньше, меньше лучше) делаете массу из теста, облепливаете, можете добавить камушки щебня для реалистичности , стараетесь сделать похожим на вулках, засыпаем в горлышко соду, не жалейте ( чуть меньше половины бутылки хватит) , во время демонстрации налейте немного уксуса, только аккуратно, иначе будет катастрофа
Делала с младшим братом, фурор произвел
4,8(70 оценок)
Ответ:
01.11.2022
Свои последние каникулы в средней школе я провела вместе с моими друзьями
Вместе мы ходили в парки и дышали свежем воздухом и прикалывались друг над другом,шутили,смеялись,радовались каждой секунде вместе! Кушали мороженное ,гуляли с собачкой моей подруги,ее звали Лило...День спустя мы пошли в кино на прекрасный фильм.который потряс наше сознание и наше понимание мира...Он назывался Воровка книг!
По скольку я учусь в средней школе ,не редко вспоминала про уроки и садилась за них на час-два...Но больше всегда мы провели время отдыхая и радуясь жизни...
4,5(22 оценок)
Это интересно:
Новые ответы от MOGZ: Математика
logo
Вход Регистрация
Что ты хочешь узнать?
Спроси Mozg
Открыть лучший ответ