М
Молодежь
К
Компьютеры-и-электроника
Д
Дом-и-сад
С
Стиль-и-уход-за-собой
П
Праздники-и-традиции
Т
Транспорт
П
Путешествия
С
Семейная-жизнь
Ф
Философия-и-религия
Б
Без категории
М
Мир-работы
Х
Хобби-и-рукоделие
И
Искусство-и-развлечения
В
Взаимоотношения
З
Здоровье
К
Кулинария-и-гостеприимство
Ф
Финансы-и-бизнес
П
Питомцы-и-животные
О
Образование
О
Образование-и-коммуникации
Лера20888
Лера20888
03.09.2022 20:58 •  Математика

2.
Який вираз слід записати в дужках, якщо корінь рівняння 7 (...)=3x+8 дорівнює 2?

👇
Ответ:
xarimapula
xarimapula
03.09.2022

1x

Пошаговое объяснение:

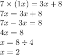
7 \times (1x) = 3x + 8 \\ 7x = 3x + 8 \\ 7x - 3x = 8 \\ 4x = 8 \\ x = 8 \div 4 \\ x = 2

4,6(97 оценок)
Открыть все ответы
Ответ:
Kotya005
Kotya005
03.09.2022
Допустим, существует семья, состоящая из матери, дочери, бабушки и дедушки. Семья живёт в в Кировской области. Мать работает на заводе и получает заработную плату в размере 25 650 руб. И согласно трудовому договору у неё установлена доплата за работу во вредных условиях труда в размере 20% от месячного оклада. Значит доплата за вредные условия труда составит 5130 руб. Бабушка - пенсионерка и получает пенсию в размере 8564,50 руб., т.к. бабушка инвалид II группы. Дедушка получает пенсию в размере 5574 руб. Плюс ко всему, эта семья получает алименты в размере 1300 руб., учитывается такая сумма, т.к. заработок у её "отца" отсутствует фактически. Итого бюджет семьи составит 46218,5 руб.
4,6(27 оценок)
Ответ:
Допустим, существует семья, состоящая из матери, дочери, бабушки и дедушки. Семья живёт в в Кировской области. Мать работает на заводе и получает заработную плату в размере 25 650 руб. И согласно трудовому договору у неё установлена доплата за работу во вредных условиях труда в размере 20% от месячного оклада. Значит доплата за вредные условия труда составит 5130 руб. Бабушка - пенсионерка и получает пенсию в размере 8564,50 руб., т.к. бабушка инвалид II группы. Дедушка получает пенсию в размере 5574 руб. Плюс ко всему, эта семья получает алименты в размере 1300 руб., учитывается такая сумма, т.к. заработок у её "отца" отсутствует фактически. Итого бюджет семьи составит 46218,5 руб.
4,8(23 оценок)
Это интересно:
Новые ответы от MOGZ: Математика
Полный доступ к MOGZ
Живи умнее Безлимитный доступ к MOGZ Оформи подписку
logo
Вход Регистрация
Что ты хочешь узнать?
Спроси Mozg
Открыть лучший ответ