М
Молодежь
К
Компьютеры-и-электроника
Д
Дом-и-сад
С
Стиль-и-уход-за-собой
П
Праздники-и-традиции
Т
Транспорт
П
Путешествия
С
Семейная-жизнь
Ф
Философия-и-религия
Б
Без категории
М
Мир-работы
Х
Хобби-и-рукоделие
И
Искусство-и-развлечения
В
Взаимоотношения
З
Здоровье
К
Кулинария-и-гостеприимство
Ф
Финансы-и-бизнес
П
Питомцы-и-животные
О
Образование
О
Образование-и-коммуникации
meowgro
meowgro
05.01.2020 18:36 •  Математика

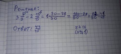
Сколько будет 3 7/9 - 2 13/15 =

👇
Ответ:
маша200620
маша200620
05.01.2020


Сколько будет 3 7/9 - 2 13/15 =
4,4(8 оценок)
Ответ:
7kotik7myr7myr7
7kotik7myr7myr7
05.01.2020

........................................................


Сколько будет 3 7/9 - 2 13/15 =
4,4(68 оценок)
Открыть все ответы
Ответ:
amanamisa1
amanamisa1
05.01.2020

Пошаговое объяснение:

пусть А - точка касания, тогда ее координаты:

1. f(x)=0,05x²+2x+10;  x₀=10; f(x₀)=0,05*10²+2*10+10=35; A(10;35).

Угловой коэффициент (tg угла наклона) касательной (а это - прямая f₁(x)=kx+b ) к оси абсцисс в точке x₀ равен величине производной функции в этой же точке:

f'(x)=0,1x+2;  f'(x₀)=0,1*10+2=3; k=3;

запишем:

f₁(x)=3x+b;  

эта прямая проходит через точку А (по определению касательной к кривой), значит подставляем координаты т.А в уравнение прямой, и определяем b:

35=3*10+b; b=35-30=5;

f₁(x)=3x+5.

2. f(x)=0,05x²-4x+20;  x₀=5; f(x₀)=0,05*5²-4*5+20=35; A(5;1,25)

f'(x)=0,1x-4;  f'(x₀)=0,1*5-4=-3,5;

f₁(x)=kx+b; f₁(x)=-3,5x+b;  

1,25=-3,5*5+b; b=1,25+17,5=18,75;

f₁(x)=-3,5x+18,75.

3. Ага, я ошибся. На второй странице графики функций для задачи 3 - об острых и тупых углах. Решаем для

варианта а):

касательные горизонтальны в т. B и D:

углы острые в т. А и Е

углы тупые в т. С.

вариант б)

касательные горизонтальны в т. B,C и D:

углы острые в т. Е

углы тупые в т. A.

вариант в)

касательные горизонтальны в т. А,C и E:

углы острые в т. B и F

углы тупые в т. D.

вариант г)

касательные горизонтальны в т. А,C и E:

углы острые в т. D

углы тупые в т. B и F.

4,6(25 оценок)
Ответ:
ahmed0051
ahmed0051
05.01.2020

ответ: 1 )

 

Корма  всего

   Количество лошадей

Лошади

Неизвестно, но 1 лошадь съедает в 2 раза больше чем жеребёнок

8

Жеребята

54 кг

6

2 )  (1) Сначала надо найти  сколько съедает  один жеребёнок.

        54:6=9(кг) съедает один жеребёнок

   (2) Теперь находим сколько съедает одна лошадь.

        9*2=18 (кг) съедает одна лошадь

   (3) Сколько всего съедают лошади.

        18*8=144 (кг) съедают все лошади

   (4)Сколько всего съедают лошади на конюшне.

        144+54= 198 (кг) съедают всего лошади на конюшне    

 ответ: всего лошади съедают 198 кг корма.

3 ) Всего можно создать 3 обратные задачи.

4 ) На конюшне 8 лошадей и несколько жеребят всего они съедают 198 кг  корма скольео съедает один жеребёнок если всего им дают 54 кг, а  одна лошадь съедает в 2 раза больше жеребёнка. Сколько всего жеребят.

  (1)  Сначала надо найти сколько  съедают лошади.

198-54=144 (кг) съедают лошади

  (2)   Теперь надо узнать сколько съедает 1 лошадь.

144:8= 18 (кг) съедает одна лошадь

  (4) Теперь узнаём сколько съедает один жеребёнок.

18:2 = 9 (кг) съедает один жеребёнок

  (5)    Теперь узнаем сколько жеребят на конюшне.

54:9 = 6 (жереб.) жеребят на конюшне

 ответ: всего 6 жеребят на конюшне.

Пошаговое объяснение:

это целиком

4,4(71 оценок)
Это интересно:
Новые ответы от MOGZ: Математика
logo
Вход Регистрация
Что ты хочешь узнать?
Спроси Mozg
Открыть лучший ответ