М
Молодежь
К
Компьютеры-и-электроника
Д
Дом-и-сад
С
Стиль-и-уход-за-собой
П
Праздники-и-традиции
Т
Транспорт
П
Путешествия
С
Семейная-жизнь
Ф
Философия-и-религия
Б
Без категории
М
Мир-работы
Х
Хобби-и-рукоделие
И
Искусство-и-развлечения
В
Взаимоотношения
З
Здоровье
К
Кулинария-и-гостеприимство
Ф
Финансы-и-бизнес
П
Питомцы-и-животные
О
Образование
О
Образование-и-коммуникации
juliadzyombak
juliadzyombak
24.09.2022 03:54 •  Математика

A)Урожайность картофеля у двух фермеров одинакова. Они собрали вместе 450т. Какова урожайность картофеля (т/га),если у одного из них было посажено 8 га, а у другого-10 га? б)Урожайность картофеля у фермера-30т/га. Сколько гектаров земли отведено у него под картофель, если он собрал 75т с первого участка и 135 т со второго участка?
Быстрее!

👇
Ответ:
avramenkoviola
avramenkoviola
24.09.2022

я делал это 10000000% правильно можно лучший ответ

и кст удачи в школе


A)Урожайность картофеля у двух фермеров одинакова. Они собрали вместе 450т. Какова урожайность карто
A)Урожайность картофеля у двух фермеров одинакова. Они собрали вместе 450т. Какова урожайность карто
4,6(87 оценок)
Ответ:
islom0503
islom0503
24.09.2022

тут уже всё есть

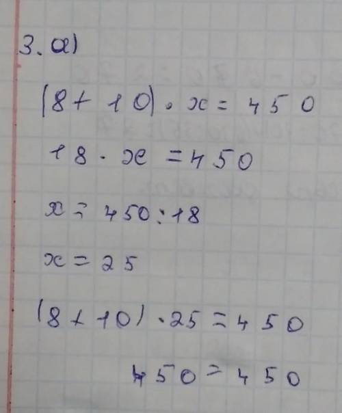
а) ответ:

урожайность картофеля 25 т/га  (тонн с гектара)

Пошаговое объяснение:

1)8+10=18 (га) - засажено у двоих фермеров вместе;

2)450:18=25т/га  - урожайность картофеля

б)

75+135 = 210 т собрал всего

210:30 = 7 га отведено под картофель

4,7(18 оценок)
Открыть все ответы
Ответ:
Щкх
Щкх
24.09.2022
Всего:50кг                                                                                                                                                   Смородина:20кг                                                                                                                                         Клубника:?                                                                                                                                                   50-20=30(кг.)                                                                                                                                            ответ:собрали 30 кг. клубники.
4,4(20 оценок)
Ответ:
sts23
sts23
24.09.2022
Всего:50кг                                                                                                                                                   Смородина:20кг                                                                                                                                         Клубника:?                                                                                                                                                   50-20=30(кг.)                                                                                                                                            ответ:собрали 30 кг. клубники.
4,7(65 оценок)
Это интересно:
Новые ответы от MOGZ: Математика
logo
Вход Регистрация
Что ты хочешь узнать?
Спроси Mozg
Открыть лучший ответ