М
Молодежь
К
Компьютеры-и-электроника
Д
Дом-и-сад
С
Стиль-и-уход-за-собой
П
Праздники-и-традиции
Т
Транспорт
П
Путешествия
С
Семейная-жизнь
Ф
Философия-и-религия
Б
Без категории
М
Мир-работы
Х
Хобби-и-рукоделие
И
Искусство-и-развлечения
В
Взаимоотношения
З
Здоровье
К
Кулинария-и-гостеприимство
Ф
Финансы-и-бизнес
П
Питомцы-и-животные
О
Образование
О
Образование-и-коммуникации
vika5658
vika5658
13.03.2020 07:44 •  Математика

, ВЫЧИСЛИТЕ ОПРЕДЕЛЁННЫЕ ИНТЕГРАЛЫ


, ВЫЧИСЛИТЕ ОПРЕДЕЛЁННЫЕ ИНТЕГРАЛЫ
, ВЫЧИСЛИТЕ ОПРЕДЕЛЁННЫЕ ИНТЕГРАЛЫ

👇
Ответ:
stupinaksp029hy
stupinaksp029hy
13.03.2020

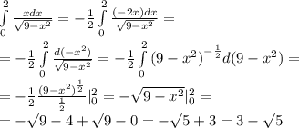
\int\limits^{ 2 } _ {0} \frac{xdx}{ \sqrt{9 - {x}^{2} } } = - \frac{1}{2} \int\limits^{ 2 } _ {0} \frac{( - 2x)dx}{ \sqrt{9 - {x}^{2} } } = \\ = - \frac{1}{2} \int\limits^{ 2 } _ {0}\frac{d( - {x}^{2} )}{ \sqrt{9 - {x}^{2} } } = - \frac{1}{2} \int\limits^{ 2 } _ {0} {(9 - {x}^{2}) }^{ - \frac{1}{2} } d(9 - {x}^{2} ) = \\ = - \frac{1}{2} \frac{ {(9 - {x}^{2} )}^{ \frac{1}{2} } }{ \frac{1}{2} } | ^{ 2 } _ {0} = - \sqrt{9 - {x}^{2} } | ^{ 2 } _ {0} = \\ = - \sqrt{9 - 4} + \sqrt{9 - 0} = - \sqrt{5} + 3 = 3 - \sqrt{5}

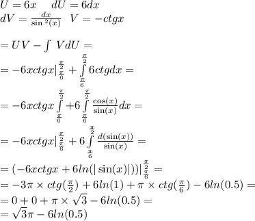
\int\limits^{ \frac{\pi}{2} } _ { \frac{\pi}{6} } \frac{6xdx}{ \sin {}^{2} (x) } \\

По частям:

U=6 x \: \: \: \: \: \: dU = 6dx \\ dV = \frac{dx}{ \sin {}^{2} (x) } \: \: \: V = - ctgx \\ \\ = UV - \int\limits \: VdU= \\ = -6 xctgx | ^{ \frac{\pi}{2} } _ { \frac{\pi}{6} } + \int\limits^{ \frac{\pi}{2} } _ { \frac{\pi}{6} }6ctgdx = \\ = - 6xctgx\int\limits^{ \frac{\pi}{2} } _ { \frac{\pi}{6} } + 6\int\limits^{ \frac{\pi}{2} } _ { \frac{\pi}{6} } \frac{ \cos(x) }{ \sin(x) } dx = \\ = - 6xctgx| ^{ \frac{\pi}{2} } _ { \frac{\pi}{6} } + 6\int\limits^{ \frac{\pi}{2} } _ { \frac{\pi}{6} } \frac{d( \sin(x) )}{ \sin(x) } = \\ = ( - 6xctgx + 6 ln( | \sin(x) | ) ) | ^{ \frac{\pi}{2} } _ { \frac{\pi}{6} } = \\ = - 3\pi \times ctg( \frac{\pi}{2} ) + 6 ln(1) + \pi \times ctg( \frac{\pi}{6} ) - 6 ln(0.5) = \\ = 0 + 0 + \pi \times \sqrt{3} - 6 ln(0.5) = \\ = \sqrt{3} \pi - 6ln(0.5)

4,8(98 оценок)
Открыть все ответы
Ответ:
Radon86
Radon86
13.03.2020
Министерство Российской Федерации по делам гражданской обороны, чрезвычайным ситуациям и ликвидации последствий стихийных бедствий Академия Государственной противопожарной службы В. А. Седнев, С. И. Воронов, И. А. Лысенко, Е. И. Кошевая, Н. А. Савченко, Н. И. Седых ОРГАНИЗАЦИЯ ЗАЩИТЫ НАСЕЛЕНИЯ И ТЕРРИТОРИЙ ОТ ЧРЕЗВЫЧАЙНЫХ СИТУАЦИЙ Допущено Министерством Российской Федерации по делам гражданской обороны, чрезвычайным ситуациям и ликвидации последствий стихийных бедствий в качестве учебника для высших образовательных учреждений МЧС России Москва 2014УДК 351: 614.8 ББК 68.9 С28 Рецензенты: С.Л. Диденко, кандидат социологических наук, директор Департамента гражданской защиты МЧС России; А. В. Баринов, доктор технических наук, профессор, заслуженный работник высшей школы Российской Федерации, профессор кафедры инженерной защиты населения и территорий Академии гражданской защиты МЧС России; И. В. Сосунов, кандидат технических наук, доцент, заместитель начальника ФГБУ ВНИИ ГОЧС (ФЦ) Седнев В. А. и др. С28 Организация защиты населения и территорий от чрезвычайных ситуаций : учебник. – 3-е изд., перераб. и доп. / В. А. Седнев, С. И. Воронов, И. А. Лысенко, Е. И. Кошевая, Н. А. Савченко, Н. И. Седых.– М. : Академия ГПС МЧС России, 2014. – 229 с. ISBN 978-5-9229-0098-0 В учебнике систематизирован материал, обеспечивающий изучение тре- бований к организации защиты населения и территорий от чрезвычайных си- туаций, и приведены методики прогнозирования чрезвычайных ситуаций природного и техногенного характера. Учебник подготовлен по дисциплине «Организация защиты населения и территорий от чрезвычайных ситуаций» и предназначен для подготовки бакалавров и специалистов по направлениям 280700 «Техносферная безопас- ность», 081100 «Государственное муниципальное управление», 210700 «Ин- фокоммуникационные технологии и системы связи», а также может быть ис- пользован для подготовки других категорий обучающихся. Учебник будет также полезен профессорско-преподавательскому составу вузов Российской Федерации и специалистам в области защиты населения и территорий в мирное и военное время. УДК 351: 614.8 ББК 68.9 © Седнев В.А., Воронов С.И., Лысенко И.А., Кошевая Е.И., Савченко Н.А., Седых Н.И., 2014 © Академия Государственной противопожарной службы МЧС России, 2014Предисловие В Российской Федерации координация деятельности и организация работ в области защиты населения и территорий от чрезвычайных ситу- аций возложены на Министерство Российской Федерации по делам гражданской обороны, чрезвычайным ситуациям и ликвидации послед- ствий стихийных бедствий (МЧС России). Важнейшим фактором, влия- ющим на его функционирование, является подготовка руководящего со- става органов управления МЧС России к действиям в условиях угрозы и развития чрезвычайных ситуаций как мирного, так и военного времени. Учебник предназначен для изучения дисциплины «Организация защиты населения и территорий от чрезвычайных ситуаций», а также может быть использован в практической деятельности руководящего состава Единой государственной системы предупреждения и ликвида- ции чрезвычайных ситуаций (РСЧС) всех уровней. Учебник включает в себя системно изложенную информацию по прогнозированию и оценке обстановки при возникновении чрезвы- чайных ситуаций, по обеспечению устойчивости функционирования объектов экономики, по и средствам защиты населения и тер- риторий в чрезвычайных ситуациях. Учебник разработан: лауреатом премии Правительства Российской Федерации в области образования, лауреатом премии Правительства Рос- сийской Федерации в области науки и техники, доктором технических наук, профессором В. А. Седневым – предисловие, введение, гл. 3–10, за- ключение, прил. 1–2; доктором биологических наук, профессором С. И. Вороновым – гл. 1, 2; кандидатом технических наук И. А. Лысенко – гл. 4, 10, прил. 1; кандидатом технических наук Е. И. Кошевой – гл. 7; кандидатом технических наук Н. А. Савченко – гл. 5, прил. 2; кандидатом военных наук Н. И. Седых – гл. 9. 3Введение Подготовка в области защиты населения и территорий от чрезвы- чайных ситуаций (ЧС) природного и техногенного характера представля- ет собой целенаправленную деятельность федеральных органов исполни- тельной власти, органов исполнительной власти субъектов Российской Федерации, органов местного самоуправления, администраций объектов экономики и инфраструктуры, а также общественных объединений, направленную на овладение населением знаниями и практическими навыками, необходимыми для предотвращения чрезвычайных ситуаций. Основополагающие правовые основы подготовки населения в обла- сти защиты от чрезвычайных ситуаций определил Федеральный закон «О защите населения и территорий от чрезвычайных ситуаций природ- ного и техногенного характера». Правительством Российской Федерации утвержден порядок подго- товки населения в 
4,4(22 оценок)
Ответ:
1) У мурах поганий зір, але зате сильно розвинені нюх і дотик. Органи нюху розташовані у них на вусиках. Ворушачи ними, мураха обнюхує і обмацує всі зустрічні предмети. По запаху комахи впізнають «своїх» і «чужих», по запаху слідів знаходять дорогу до мурашника, навколо якого багато «запашних стежок», протоптаних мурахами. 2) Мурахи можуть майстерно орієнтуватися на місцевості. Довгий час вважалося, що роблять вони це за до наявних у них особливих ферментів. Однак було доведено, що мурашки знаходять дорогу додому тому, що вважають свої кроки! Виявляється, мурахи здатні відміряти відстань до своєї мети.
3) Професор Майкл О ' Ши з Сассекса вважає, що мурашки знаходять дорогу додому не тільки завдяки вже згаданим феромонам, але і за до досить складної системи астроориентації. "Є припущення, – каже професор, – що, незважаючи на поганий зір, мурахи мають здатність бачити поляризоване світло. Причому по виході з мурашника своєрідний нейрокомп'ютер в мозку муравьишки відзначає положення осі поляризації і потім відстежує всі зміни, поки мураха шукає здобич, бігаючи по самій хитромудрій траєкторії. Коли ж здобувача треба повернутися додому, його комп'ютер тут же вираховує, наскільки змінилася вісь поляризації в даний момент, і видає мандрівникові генеральне напрям на будинок. І мураха повертається, не повторюючи свій маршрут, а по найкоротшій прямій..."
4,4(41 оценок)
Новые ответы от MOGZ: Математика
logo
Вход Регистрация
Что ты хочешь узнать?
Спроси Mozg
Открыть лучший ответ