М
Молодежь
К
Компьютеры-и-электроника
Д
Дом-и-сад
С
Стиль-и-уход-за-собой
П
Праздники-и-традиции
Т
Транспорт
П
Путешествия
С
Семейная-жизнь
Ф
Философия-и-религия
Б
Без категории
М
Мир-работы
Х
Хобби-и-рукоделие
И
Искусство-и-развлечения
В
Взаимоотношения
З
Здоровье
К
Кулинария-и-гостеприимство
Ф
Финансы-и-бизнес
П
Питомцы-и-животные
О
Образование
О
Образование-и-коммуникации

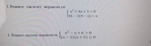
Решите системы неравенств на фото​


Решите системы неравенств на фото​

👇
Открыть все ответы
Ответ:
Ganster1234567
Ganster1234567
30.12.2021
Пословицы о школе и учёбеУчить - ум точить.Не выучит школа, выучит охота.Что твёрдо выучишь, долго помнится.Не говори: учился, а говори, что узнал.Учиться всегда пригодится.Легко забыть то, чего не знаешь.Красна птица перьем, а человек ученьем.Они одной школы, одной выучки, одной шерсти, масти, один черт.Кто знает дорогу, тот не спотыкается.Не штука проучить, а штука научить.Очки грамоте не учат.Повторенье - мать ученья.Мудрым никто не родился.На берегу плавать не научишься.Больше узнаешь - сильнее станешь.Грамоте учиться - всегда пригодится.Для ученья нет старости.Не гордись званием, а гордись знанием.Добрый разум наживают не разом.Кому трудно учиться один день, тому трудно будет всю жизнь.Кто любит науки, тот не знает скуки.У Николы две школы: азбуки учат да кануны твердят.Кто учится с молоду, не знает на старости голоду.Наука учит только умного.Наука хлеба не просит, а хлеб даёт.Корень учения горек, да плод его сладок.Боится школьник лозы пуще грозы.Без грамоты - как без свечки в потёмках.Школа вымучит, охота выучит.Догадка хороша, а знание лучше.Ученье без уменья не польза, а беда.Умный не тот, кто много говорит, а тот, кто много знает.Уму до конца жизни учатся.Ученье да труд к славе ведут.Учёного учить - только портить.Учиться никогда не поздно.Повторять да учить - ум точить.Кто возьмет без спросу, тот будет без носу (надпись на книге школьника).У врача лечись, а у умного учись.Напрасный труд - удить без крючка, учиться без книги.В науке старых нет.Если сам не доучился, не берись учить других.Была бы охота, а выучиться можно.За учёного двух неучёных дают и то не берут.Где нет знаний, там нет и смелости.Гни дерево, пока гнётся, учит дитятку, пока слушается.Знает не тот, кто много жил, а тот, кто знания нажил.Знание и мудрость украшают человека.Наука глаза открывает.Наука даром не даётся - наука трудом берётся.Краденое яичко школьнику слаще.Крик, как в жидовской школе.Разница между школьником и огнем? (Огонь высекут, да и разложат; а школьника сперва разложат, а там высекут).
4,5(33 оценок)
Ответ:
Бикулова
Бикулова
30.12.2021
"Карлсон уже съел столько, сколько еще осталось съесть Малышу" - т.е. сколько бы не съел Карлсон, Малышу для управы с пирогом не хватало бы именно этой части.
Если сложить эти 2 части пирога (то, что уже съел Карлсон и то, что осталось съесть Малышу), то мы получим целый пирог. Следовательно если бы они ели один пирог вдвоем, то он бы уже закончился.
Помимо двух минут, что Малыш и Карлсон ели пирог, нужно учитывать, что Карлсон начал есть свой пирог на минуту позже Малыша. Поэтому берем время равное 3 минутам 
4,4(46 оценок)
Новые ответы от MOGZ: Математика
logo
Вход Регистрация
Что ты хочешь узнать?
Спроси Mozg
Открыть лучший ответ