
ответ: x = - 1.
Пошаговое объяснение:
Решим уравнение через дискриминант.
(- x - 4) * (3x + 3) = 0
- 3x² - 3x - 12x - 12 = 0
- 3x² - 15x - 12 = 0
D = b² - 4ac = (- 15)² - 4 * (- 3) * (- 12) = 225 - 144 = 81
x₁ = (- b - √D)/(2a) = (- (- 15) - √81)/(2 * (- 3)) = (15 - 9)/(- 6) = 6/(-6) = - 1
x₂ = (- b + √D)/(2a) = (- (- 15) + √81)/(2 * (-3)) = (15 + 9)/(- 6) = 24/(- 6) = - 4
- 1 > - 4 ⇒ в ответ записываем x = - 1.
Решим уравнение через разложение трёхчлена.
(- x - 4) * (3x + 3) = 0
[ - x - 4 = 0 x₁ = - 4
⇒
[ 3x + 3 = 0 x₂ = - 1
- 1 > - 4 ⇒ в ответ записываем x = - 1.
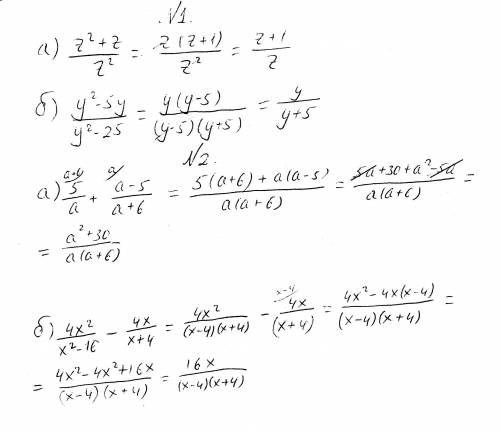
№1
а)
;
б)
.
№2
а)
б)
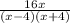
№ 3
0,5
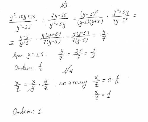
№4
1.
Пошаговое объяснение:
Решение в приложении