М
Молодежь
К
Компьютеры-и-электроника
Д
Дом-и-сад
С
Стиль-и-уход-за-собой
П
Праздники-и-традиции
Т
Транспорт
П
Путешествия
С
Семейная-жизнь
Ф
Философия-и-религия
Б
Без категории
М
Мир-работы
Х
Хобби-и-рукоделие
И
Искусство-и-развлечения
В
Взаимоотношения
З
Здоровье
К
Кулинария-и-гостеприимство
Ф
Финансы-и-бизнес
П
Питомцы-и-животные
О
Образование
О
Образование-и-коммуникации
CwetochekAnfisa
CwetochekAnfisa
22.05.2022 12:06 •  Математика

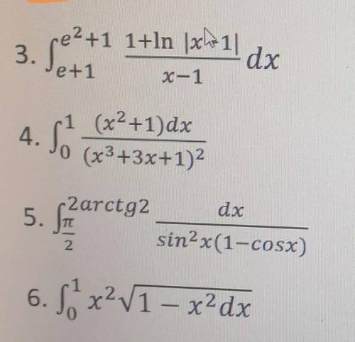
Найти определенный интеграл ​


Найти определенный интеграл ​

👇
Открыть все ответы
Ответ:
Utepovabay
Utepovabay
22.05.2022
Поставь хорошую отметку:-) ;-) Сеченение на тему Что такое доверие. Доверие — это уверенность в поступке другого человека определённым образом. Доверие — всегда кому-то принадлежит, оно личное . Доверие — состояние внутреннего мира человека, когда хочется рассказать о себе . посоветоваться и, когда ты знаешь. что об этом тебе не придется жалеть. Однако, главным и первым признаком доверия является дружба. .Доверять-значит верить. мы все доверяем своим родителям и друзьям, мы всегда ищем в них поддержку и понимание, раскрываемся им и изливаем душу.
4,7(80 оценок)
Ответ:
azovska552
azovska552
22.05.2022
Кому можно доверять?Человеческая среда, часто бывает агрессивной. Это не значит, что Вам нужно закрыться, уйти в свою скорлупу и ни с кем не общаться. Нет, это не так. Нужно учиться определять, с кем делиться, а с кем - нет, с кем общаться, а кому и отказать. 
Не позволяйте сбить себя с толку, не верьте "добрым", на первый взгляд, намерениям других людей. Как правило, подобные "добренькие" имеют корыстные цели. Не попадайтесь на лесть и обещания. Учитесь распознавать тех, кто просит Вас о чём-то, кто жаждет Вашей Вашего совета, или просто Вашего общества.
 Самый верный и простой когда не знаете, как поступить - это научиться говорить - Нет или подумаю. Надо учиться говорить « Нет », даже самым близким людям, даже тем, кого Вы очень любите, если они призывают Вас к чему-то, для Вас неприемлему. Никогда не принимайте решения под давлением или по принуждению. Старайтесь разобраться и понять. Не делайте того, чего не понимаете. Если нет времени на принятие неординарного для вас решения. Откажитесь. Скажите - нет. Найдите время для анализа и сбора информации по незнакомому вопросу. 
 Многим людям трудно говорить « Нет » - особенно трудно отказывать близким. Поэтому, желая сохранить добрые взаимоотношения, они подчиняются и делают то, о чем их просят, но с нежеланием, а внутри себя они негодуют, и переживают. Подумайте, не будет ли вы соучастником в выращивании потребительства.
Всегда есть возможность, осмыслить и сказать - "ДА", даже если Вы сказали, "Нет". Не бойтесь исправлять свои ошибки.
4,7(46 оценок)
logo
Вход Регистрация
Что ты хочешь узнать?
Спроси Mozg
Открыть лучший ответ