
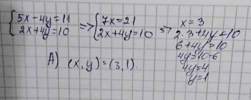
5x - 4y = 11; 2x + 4y = 10 - решать будем сложения, для этого почленно сложим уравнения системы;
(5x + 2x) + (- 4y + 4y) = 11 + 10;
7x + 0 = 21;
7x = 21;
x = 21 : 7;
x = 3 - подставим в любое из уравнений системы вместо х число 3 и найдем у, мы подставим во второе;
2 * 3 + 4y = 10;
6 + 4y = 10;
4y = 10 - 6;
4y = 4;
y = 4 : 4;
y = 1.
ответ. (3 ; 1).
Пошаговое объяснение:
эта музыка насыщена маршевыми интонациями. Музыка «Военного марша» звучит бодро, энергично, торжественно.
Какое выразительное значение имеет вступление к маршу?
Звучание трубы напоминает «военные сигналы» и тем самым создает особое боевое приподнятое настроение и сильный характер.
: Обе мелодии маршевого характера, слышится четкий шаг, но вторая мелодия более напевная, что вносит контраст образов.
Марш написан в трехчастной форме. И мелодия первой и третьей части закрепляет значимость образных характеристик марша: торжественно победного
28
Пошаговое объяснение:
это задача на диаграммы эйлера венна
1 - прочитали все вместе
2 - прочитали Марина и Юра
прочитал только Петя и никто другой = 9-1=8
прочитал только Юра и никто другой = 14-1-2=11
прочитала только Марина и никто другой=9-1-2=6
8+11+6+2+1=28
Но можно решить и по-другому. сложим все прочитанные рассказы 9+9+14=32
1 рассказ, который прочитали они все вместе, в общей сумме посчитан три раза, значит нам надо отнять 2 лишних раза. 30
2 рассказа, которые прочитали Марина и Юра посчитаны каждый по 2 раза, значит каждый по 1 лишнему разу, значит нам надо отнять 2 лишних раза. 28
ответ дан на фотографии