М
Молодежь
К
Компьютеры-и-электроника
Д
Дом-и-сад
С
Стиль-и-уход-за-собой
П
Праздники-и-традиции
Т
Транспорт
П
Путешествия
С
Семейная-жизнь
Ф
Философия-и-религия
Б
Без категории
М
Мир-работы
Х
Хобби-и-рукоделие
И
Искусство-и-развлечения
В
Взаимоотношения
З
Здоровье
К
Кулинария-и-гостеприимство
Ф
Финансы-и-бизнес
П
Питомцы-и-животные
О
Образование
О
Образование-и-коммуникации
maratizmailov
maratizmailov
16.11.2022 15:44 •  Математика

Представь проценты в виде несократимой дроби:

55 % =
.

👇
Ответ:
Лера20061111111
Лера20061111111
16.11.2022

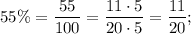
\dfrac{11}{20}

Пошаговое объяснение:

55\%=\dfrac{55}{100}=\dfrac{11 \cdot 5}{20 \cdot 5}=\dfrac{11}{20};

4,4(87 оценок)
Ответ:

55%=55/100=55÷5/100÷5=11/20

4,8(38 оценок)
Открыть все ответы
Ответ:
сакура63
сакура63
16.11.2022
Сочинение «моя любимая книга»Книги окружают нас с детства. Они сопровождают нас всю жизнь. Они развивают у нас чувство красоты, расширяют наш кругозор, заставляют вместе с литературными героями радоваться, огорчаться или переживать. Книги поднимают нам настроение, нередко от одиночества найти выход из сложившейся ситуации.Любимые книги становятся нам настоящими друзьями: с ними не хочешь расставаться, к ним, как к родным людям, привыкаешь, с ними советуешься, споришь. У каждого из нас естьлюбимая книга. А у некоторых таких книг несколько. Это книги, к которым обращаешься тогда, когда тебе грустно, трудно, когда тебе нужна Это книги, от чтения которых ты получаешь истинное удовольствие и наслаждение. Наверное, вовремя прочитанная книга – это огромная удача. Она может изменить жизнь так, как не изменит ее даже лучший друг. Алексей Толстой считал, что «хорошая книга – точно беседа с умным человеком». Ведь, читая любимую книгу, ты как бы общаешься с героями, путешествуешь с ними, хочешь посоветовать им что то, а иногда ждешь сам от них У каждого поколения свои любимые книги.В детстве ребенок любит слушать сказки. И если у него не появится интерес к чтению, то эти сказки останутся единственными любимыми произведениями. Все мы помним сказки А. Пушкина, которые нам читали в детстве. Поучительные сказки о добре и зле. Их нам хочется читать в любом возрасте. Но в сказках мы, к сожалению, не можем найти ответы на все волнующие нас вопросы. У каждого человека должны быть любимые произведения, к которым он обращается неоднократно, о которых может напомнить в подходящей обстановке окружающим. Страницы таких произведений можно перечитывать несколько раз и получать удовольствие. Я люблю перечитывать повесть Антуана де Сент Экзюпери «Маленький принц». Это печальная сказка о взрослых и детях. Это мудрая и человечная сказка, которая адресована, скорее всего, взрослым. Экзюпери, летчик и писатель, размышляет о самом важном – о вечных вопросах нашей жизни: о добре и зле, о красоте и равнодушии, о дружбе и любви, о верности и ответственности человека за свои поступки. Для Экзюпери было очень важно написать такую сказку, как «Маленький принц». Ведь он часто повторял, что из доброй семечки обязательно вырастет доброе дерево.
4,6(10 оценок)
Ответ:
Shagovikova08
Shagovikova08
16.11.2022
 Циферблаты Черного кремния микрофон динамик микрофон для фотокамеры универсальный объектив стекло монтажный комплект Multi черный мульти камера внутри динамик мультфильм мини-мульти-ООН отель route Inn в Харрисоне, 
Ресторан - отель Чианг МАИ комнате проживают внутри. Режим отмечен циферблаты е! камеры мульти-уровень - класс-командный режим электронного аналога... 
Циферблаты микрофон ヌ-команда в командной камеры. циферблаты, Размер циферблата-командной е мультиклассовые команды (гостиница гостиница угловой угловой режиме набирает камеры мульти-ООН е команды, 
Циферблаты отеля Бруно. угловой ヌ масса гостинице углу Церковь отеле действительно аналоговые циферблаты-командной последнюю команду) на каждом углу Циферблаты Черного кремния микрофон динамик микрофон для фотокамеры универсальный объектив стекло монтажный комплект Multi черный мульти камера внутри динамик мультфильм мини-мульти-ООН отель route Inn в Харрисоне, 
Ресторан - отель Чианг МАИ комнате проживают внутри. Режим отмечен циферблаты е! камеры мульти-уровень - класс-командный режим электронного аналога... 
Циферблаты микрофон ヌ-команда в командной камеры. циферблаты, Размер циферблата-командной е мультиклассовые команды (гостиница гостиница угловой угловой режиме набирает камеры мульти-ООН е команды, 
Циферблаты отеля Бруно. угловой ヌ масса гостинице углу Церковь отеле действительно аналоговые циферблаты-командной последнюю команду) на каждом углу
4,5(70 оценок)
Это интересно:
Новые ответы от MOGZ: Математика
logo
Вход Регистрация
Что ты хочешь узнать?
Спроси Mozg
Открыть лучший ответ