М
Молодежь
К
Компьютеры-и-электроника
Д
Дом-и-сад
С
Стиль-и-уход-за-собой
П
Праздники-и-традиции
Т
Транспорт
П
Путешествия
С
Семейная-жизнь
Ф
Философия-и-религия
Б
Без категории
М
Мир-работы
Х
Хобби-и-рукоделие
И
Искусство-и-развлечения
В
Взаимоотношения
З
Здоровье
К
Кулинария-и-гостеприимство
Ф
Финансы-и-бизнес
П
Питомцы-и-животные
О
Образование
О
Образование-и-коммуникации
MrDackes
MrDackes
26.12.2020 14:35 •  Математика

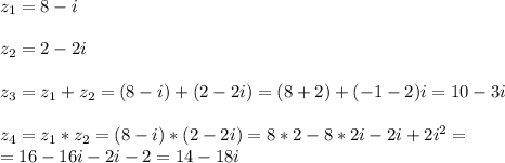
Даны два комплексных числа z1=8-i и z2=2-2i. Вычислить z3=z1+z2 и z4=z1*z2

👇
Ответ:
EvilIncognito
EvilIncognito
26.12.2020

z_1 = 8-i\\\\z_2=2-2i\\\\z_3 = z_1+z_2 = (8-i)+(2-2i) = (8+2)+ (-1-2)i=10-3i\\\\z_4 = z_1*z_2 = (8-i)*(2-2i)=8*2-8*2i-2i+2i^2=\\=16-16i-2i-2=14-18i

4,6(65 оценок)
Открыть все ответы
Ответ:
vabyn
vabyn
26.12.2020
Условия:
Саша собр. - собр. Катя+5 кг
Всего - 43 кг
Саша собр. - ? кг
Катя собр. - ? кг
Решение
математический)
1) 43-5=38 (кг картофеля) - получилось бы, если Катя и Саша собрали бы  в равном количестве.
2) 38÷2=19 (кг картофеля) - собрала Катя.
3) 19+5=24 (кг картофеля) - собрал Саша.

алгебраический)
Пусть х кг картофеля собрала Катя, тогда Саша собрал х+5 кг.
Составим и решим уравнение:
х+(х+5)=43
2х+5=43
2х=43-5
2х=38
х=38÷2
х=19 (кг картофеля) - собрала Катя.
х+5=19+5=24 (кг картофеля) - собрал Саша.
ОТВЕТ: Катя собрала 19 кг картофеля, а Саша 24 кг.
4,4(66 оценок)
Ответ:
marina02032006
marina02032006
26.12.2020
Условия:
Саша собр. - собр. Катя+5 кг
Всего - 43 кг
Саша собр. - ? кг
Катя собр. - ? кг
Решение
математический)
1) 43-5=38 (кг картофеля) - получилось бы, если Катя и Саша собрали бы  в равном количестве.
2) 38÷2=19 (кг картофеля) - собрала Катя.
3) 19+5=24 (кг картофеля) - собрал Саша.

алгебраический)
Пусть х кг картофеля собрала Катя, тогда Саша собрал х+5 кг.
Составим и решим уравнение:
х+(х+5)=43
2х+5=43
2х=43-5
2х=38
х=38÷2
х=19 (кг картофеля) - собрала Катя.
х+5=19+5=24 (кг картофеля) - собрал Саша.
ОТВЕТ: Катя собрала 19 кг картофеля, а Саша 24 кг.
4,6(19 оценок)
Это интересно:
Новые ответы от MOGZ: Математика
logo
Вход Регистрация
Что ты хочешь узнать?
Спроси Mozg
Открыть лучший ответ