М
Молодежь
К
Компьютеры-и-электроника
Д
Дом-и-сад
С
Стиль-и-уход-за-собой
П
Праздники-и-традиции
Т
Транспорт
П
Путешествия
С
Семейная-жизнь
Ф
Философия-и-религия
Б
Без категории
М
Мир-работы
Х
Хобби-и-рукоделие
И
Искусство-и-развлечения
В
Взаимоотношения
З
Здоровье
К
Кулинария-и-гостеприимство
Ф
Финансы-и-бизнес
П
Питомцы-и-животные
О
Образование
О
Образование-и-коммуникации
VlabaR265
VlabaR265
09.03.2023 12:12 •  Математика

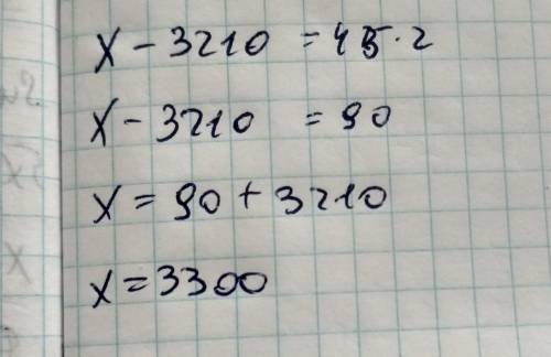
Х-3210=45*2 решите уравнение​

👇
Ответ:
nastya3454578335678
nastya3454578335678
09.03.2023

вот вам решение


Х-3210=45*2 решите уравнение​
4,5(69 оценок)
Открыть все ответы
Ответ:
Эмир228
Эмир228
09.03.2023
№1
2 1\5+1 3\10+1\4=2 4\20+1 6\20+5\20=3 15\20=3 3\4ч=3ч 45мин-был в пути.

№2
а) 1 1/3 + 4 1/6 + 1 3/4 + 2 2/3 + 3 1/4=(1 1\3+2 2\3+4 1\6)+(3 1\4+3 1\4)=14 2\3
1)1 1\3+2 2\3+4 1\6=1 2\6+2 4\6+4 1\6=7 7\6=8 1\6
2)3 1\4+3 1\4=6 2\4=6 1\2
3)8 1\6+6 1\2=8 1\6+6 3\6=14 4\6=14 2\3

№3
1) 17 1/2 - 2 /34=17 2/4-2 3/4=14 3/4 км/ч - собственная скорость лодки.
2) 14 3/4- 2 3/4=12 км/ч-скорость  против течения.

№4
1)1:6=1\6 рукописи\час-скорость первой.
2)1:8=1\8 рукописи\час-скорость второй.
3)1\6+1\8=4\24+3\24=7\24 рукописи\час-вместе.
4)1-7\24=24\24-7\24=17\24 рукописи-останется.
4,7(15 оценок)
Ответ:
Дзера1111
Дзера1111
09.03.2023
Боковая сторона — а, отрезки, на которые её делит окружность — а1 и а2., радиус вписанной окружности — р, основания — в1 и в2. достраиваем треугольники, образованные центром окружности, углами трапеции и точками касания, получаем 8 прямоугольных треугольников, из которых два — с катетами р и а1, два — с катетами р и а2, два — с катетами р и в1/2, и два — с катетами ри в2/2. из теоремы пифагора для треугольников с общими гипотенузами (отрезки от центра окружности к вершинам) имеем р^2 + а1^2 = р^2 + в1^2/4 р^2 + а2^2 = р^2 + в2^2/4, отсюда в1 = 2*а1 в2 = 2*а2 ищем высоту, для этого строим высоту из верхней вершины. эта высота отсекает на нижнем основании отрезок х. поскольку трапеция равнобочная, х = (в2-в1)/2 = а2-а1. из теоремы пифагора имеем н^2 = (а1 + а2)^2 - (а2 -а1)^2 = 4а1*а2 с = (в1 + в2)*н/2 = 2*(а1 + а2)*квкор (а1*а2) (квкор — квадратный корень) . с = 2 * 26 * кв кор (8*18) = 2*26*12 = 624.
4,5(42 оценок)
Это интересно:
Новые ответы от MOGZ: Математика
logo
Вход Регистрация
Что ты хочешь узнать?
Спроси Mozg
Открыть лучший ответ