М
Молодежь
К
Компьютеры-и-электроника
Д
Дом-и-сад
С
Стиль-и-уход-за-собой
П
Праздники-и-традиции
Т
Транспорт
П
Путешествия
С
Семейная-жизнь
Ф
Философия-и-религия
Б
Без категории
М
Мир-работы
Х
Хобби-и-рукоделие
И
Искусство-и-развлечения
В
Взаимоотношения
З
Здоровье
К
Кулинария-и-гостеприимство
Ф
Финансы-и-бизнес
П
Питомцы-и-животные
О
Образование
О
Образование-и-коммуникации
05NARIMAN05
05NARIMAN05
13.02.2020 07:51 •  Математика

Вариант 1
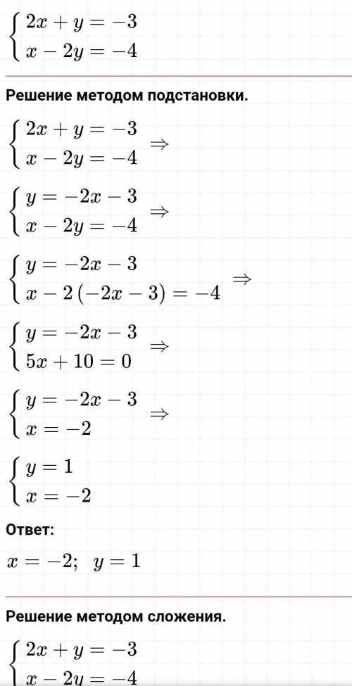
Решите систему уравнений: 2x+y=-3
x-2y=-4​

👇
Ответ:
vasnecovadaha
vasnecovadaha
13.02.2020

-2, 1

Пошаговое объяснение:

решается методом подстановки, для заполнения нынешнего пространства говорю


Вариант 1Решите систему уравнений: 2x+y=-3x-2y=-4​
4,4(28 оценок)
Открыть все ответы
Ответ:
Igor681
Igor681
13.02.2020

1.

\begin{gathered} < var > \\y=e-\ln x\\ y'=-\frac{1}{x}\\ < /var > \end{gathered}

<var>

y=e−lnx

y

=−

x

1

</var>

2.

\begin{gathered} < var > \\y=\ln(10-5x)\\ y'=\frac{1}{10-5x}\cdot-5\\ y'=\frac{-5}{10-5x}\\ y'=\frac{-5}{5(2-x)}\\ y'=\frac{1}{x-2} < /var > \end{gathered}

<var>

y=ln(10−5x)

y

=

10−5x

1

⋅−5

y

=

10−5x

−5

y

=

5(2−x)

−5

y

=

x−2

1

</var>

3.

\begin{gathered} < var > \\y=3-4\ln (1-x)\\ y'=-4\cdot\frac{1}{1-x}\cdot(-1)\\ y'=-\frac{4}{x-1} < /var > \end{gathered}

<var>

y=3−4ln(1−x)

y

=−4⋅

1−x

1

⋅(−1)

y

=−

x−1

4

</var>

4.

\begin{gathered} < var > \\y=\ln \frac{1}{x}\\ y'=\frac{1}{\frac{1}{x}}\cdot(-\frac{1}{x^2})\\ y'=-\frac{x}{x^2}\\ y'=-\frac{1}{x} < /var > \end{gathered}

<var>

y=ln

x

1

y

=

x

1

1

⋅(−

x

2

1

)

y

=−

x

2

x

y

=−

x

1

</var>

5.

\begin{gathered} < var > \\y=1-3^x\\ y'=-3^x \ln 3 < /var > \end{gathered}

<var>

y=1−3

x

y

=−3

x

ln3</var>

4,5(11 оценок)
Ответ:
kamfetisova201
kamfetisova201
13.02.2020

Натуральные числа: 5,10,2,18,85.

Целые числа: -8,-15.

Рациональные числа: 3/5, 1/7, 2/3, 3целых и 3/5, 2и 2/3.

Пошаговое объяснение:

Целые числа — расширение множества натуральных чисел, получаемое добавлением к нему нуля и отрицательных чисел.

Рационáльное числó (лат. ratio «отношение, деление, дробь») — число, которое можно представить обыкновенной дробью. , числитель. — целое число, а знаменатель. — натуральное число.

Натуральные числа (от лат. naturalis «естественный») — числа, возникающие естественным образом при счёте (например, 1, 2, 3, 4, …). Последовательность всех натуральных чисел, расположенных в порядке возрастания, называется натуральным рядом.

4,7(11 оценок)
Это интересно:
Новые ответы от MOGZ: Математика
logo
Вход Регистрация
Что ты хочешь узнать?
Спроси Mozg
Открыть лучший ответ