
Разобъем второй и третий день на два интервала: до обеда и после. Тогда во второй и третий дни до обеда теплоход проходил столько же как и за весь первый день. А также и после обеда во второй и третий дни он тоже проходил по столько же.
Получается он сколько-то за первый день, потом второй раз столько-же за первую половину второго дня, далее третий раз столько-же за вторую половину второго дня, после четвертый раз столько-же за первую половину уже третьего дня и наконец пятый раз столько-же за вторую половину третьего дня.
Итого он за эти три дня он таких расстояний, которые за первый день. Т.к. за три дня он км, то 900/5=180км - это и есть пройденное за первый день расстояние. А за второй и третий дни он проходил по 180*2=360км.
Разобъем второй и третий день на два интервала: до обеда и после. Тогда во второй и третий дни до обеда теплоход проходил столько же как и за весь первый день. А также и после обеда во второй и третий дни он тоже проходил по столько же.
Получается он сколько-то за первый день, потом второй раз столько-же за первую половину второго дня, далее третий раз столько-же за вторую половину второго дня, после четвертый раз столько-же за первую половину уже третьего дня и наконец пятый раз столько-же за вторую половину третьего дня.
Итого он за эти три дня он таких расстояний, которые за первый день. Т.к. за три дня он км, то 900/5=180км - это и есть пройденное за первый день расстояние. А за второй и третий дни он проходил по 180*2=360км.
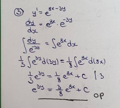
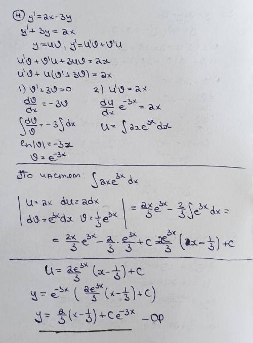
решение на фотографиях