М
Молодежь
К
Компьютеры-и-электроника
Д
Дом-и-сад
С
Стиль-и-уход-за-собой
П
Праздники-и-традиции
Т
Транспорт
П
Путешествия
С
Семейная-жизнь
Ф
Философия-и-религия
Б
Без категории
М
Мир-работы
Х
Хобби-и-рукоделие
И
Искусство-и-развлечения
В
Взаимоотношения
З
Здоровье
К
Кулинария-и-гостеприимство
Ф
Финансы-и-бизнес
П
Питомцы-и-животные
О
Образование
О
Образование-и-коммуникации
13573967
13573967
14.06.2022 09:04 •  Математика

Решить систему уравнений (2х-5)(у+2)=0, х^2+xy+y^2=4

👇
Ответ:
HELPLIZA1
HELPLIZA1
14.06.2022
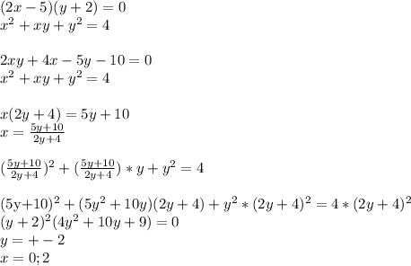
(2x-5)(y+2)=0\\
x^2+xy+y^2=4\\
\\
2xy+4x-5y-10=0\\
x^2+xy+y^2=4\\
\\
x(2y+4)=5y+10\\
x=\frac{5y+10}{2y+4}\\
\\
(\frac{5y+10}{2y+4})^2+(\frac{5y+10}{2y+4})*y+y^2=4\\


(5y+10)^2+(5y^2+10y)(2y+4)+y^2*(2y+4)^2=4*(2y+4)^2\\
(y+2)^2(4y^2+10y+9)=0\\
y=+-2\\
x=0;2
4,6(37 оценок)
Открыть все ответы
Ответ:
Mikoсладкая
Mikoсладкая
14.06.2022
5*60+15 ,5*60=300 300+15=315                                                                                  5*(60-10)  60-10=50 5*50=250                                                                                     б) 80:5+15  80:5=16  16+15=31                                                                                        80:(5+15)  5+15=20 80:20=4                                                                                     в) 300-18*5  18*5=90 300-90=210                                                                                    (300-18)*5  300-18=282  282*5=1410                                                                        г) 150-20:2 20:2=10 150-10=140                                                                                       (150-20):2   150-20=130 130:2=65      Отличаются они тем умножение и деление делается в первую очередь, а если есть скобки то сначала делается то что в скобках
4,4(14 оценок)
Ответ:
ЗАДАНИЕ № 1
Буханка хлеба имеет массу 1кг. Что тяжелее - половина буханки или четверть буханки? На сколько граммов тяжелее?
Представим 1 кг=1000 г
1) Половина буханки=1/2 буханки. Её вес составит:
1000*1/2=1000/2=500 грамм (0,5 кг)
2) Четверть буханки = 1/4 буханки. Её вес составит:
1000*1/4=  250 грамм (0,25 кг)

Что тяжелее - половина буханки или четверть буханки?
половина буханки > четверти буханки, т.к.
500 г>250 г или 0,5кг >0,25 кг

На сколько граммов тяжелее?
500-250=250 (грамм)
0,5-0,25=0,25 (кг)
ответ: половина буханки тяжелее четверти на 250 грамм (0,25 кг)

ЗАДАНИЕ №2
Выполним деление, используя "запись углом":
884÷4=221
  -884⊥4
 _8__ 221
    -8
  _ 8__
       -4
   __4__
        0

642÷2=321
    642⊥2
_-6__ 321
    -4
 __4__
         2
  __ -2_
         0

486÷3=162
 -486⊥3
_3_   162
    18
_-18_
         6
     _-6_
         0

565÷5=113
 -565⊥5
_5__113
     6
 _-5_
     15
 _-15_
       0

Во вложении указано как записывать деления столбиком в тетрадь, не забудьте поменять знак ⊥
Буханка хлеба имеет массу 1кг.что тяжелее-половина буханки или четверть буханки? на сколько граммов
4,4(33 оценок)
Это интересно:
Новые ответы от MOGZ: Математика
logo
Вход Регистрация
Что ты хочешь узнать?
Спроси Mozg
Открыть лучший ответ