
Пошаговое объяснение.
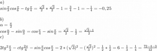
2 . а) , . . = √ 3/2 * √ 3/2 - 1 = 3/4 - 1 = - 1/4 ;
б) якщо α = π/2 , то cosα/2 + sinα/3 = cosπ/4 + sinπ/6 = √ 2/2 + 1/2 =
= ( √ 2 + 1 )/2 ;
в) . . . = 2 ( √3 )² - ( √ 3/3 )² - 1/2 * 1/2 = 6 - 1/3 - 1/4 = 5 5/12 .
1) в задаче говорится, о классах в которых нужно точность найти сколько растений
2)известно, что в одном классе 10 растений, а в другом в 2 раза больше
3)Нужно найти сколько растений, во втором, а сколько всего растений в обоих классах вместе
4)Кратка запись:
В 1 классе - 10 раст.(растений)
Во 2 классе - ?, но в 2 раза больше, чем в первом классе.
Всего - ?
5)Решение
1. 10×2=20(раст.) - мы так узнали, что в другом классе в 2 раза больше, тоесть в другом 20 растений, теперь с легкостью можно найти всего, прибавляя первый и другой класс
2.20+10=30(раст.) - в первом и во втором классе вместе
6)ответ: во втором классе 20 растений, а всего 30 растений
Для этого нужно знать табличные значения тригонометрических функций (приложил фото)
Достаточно знать значения для
. Остальные значения можно научиться выводить через окружность или формулы приведения (поищите уроки в интернете)