
Поставь лайк и отметить как лучшее решение
а) |7х|=24,5 (вычеслить)
7×|х|= 24,5 (разделяем обе стороны)
|х|=3,5 (рассмотрим все возможные случаи)
х=3,5 х=–3,5 (уравнения имеет 2 решения)
Х1=3,5 Х2=–3,5
б) |5х+2,1|=0,2 (рассмотреть все возможные случаи)
5х+2,1=0,2
5х+2,1=–0,2 (решить уравнения)
х=–0,38
х=–0,46 (уравнения имеет 2 решения)
Х1=–0,38 Х2=–0,46
с) |9х+27|-4=0,5 (перенести константу в правую часть уравнения)
|9х+27|=0,5+4 (вычислить)
|9х+27|=4,5 (рассмотреть все возможные случаи)
9х+27=4,5
9х+27=–4,5 (решить уравнения)
х=–2,5
х=–3,5 (уравнения имеет 2 решения)
Х1=–3,5 Х2=–2,5
Поставь лайк и отметить как лучшее решение
ответ:
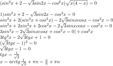
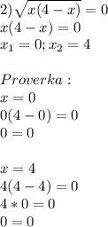
; n ∈ Z