45 мин. и 36 мин.
Пошаговое объяснение:
Весь каток это 100% или 1
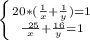
1 машина расчищает каток за х мин., вторая машина расчищает каток за у мин. ,значит
за 1 мин первая машина расчищает 1/х часть катка , а вторая машина расчищает 1/у часть катка. Вместе за 1 мин. они расчистят

за 20 мин. они расчистят :

т.е. весь каток
1 машина расчищала каток 25 мин ,значит за 1 мин. она расчищала
25*1/х= 25/х часть катка
2 машина расчищала каток 16 мин , значит за 1 мин. она расчищала
16 * 1/у= 16/у часть катка
Вместе они расчистили весь каток , т.е.

Получаем систему уравнений :

приравняем оба уравнения :

Подставим это значение в первое уравнение,для этого преобразуем его

y₁=0 не подходит, соответственно
время , за которое каток расчистит вторая машины будет
у= 36 мин .
х= (5*36)/4= 5*9= 45 мин . время , за которое расчистит каток первая машина
125 км
Пошаговое объяснение:
20% = 20/100 = 0,2
24% = 24/100 = 0,24
Теперь решим:
Пусть х (км) - весь путь, тогда 0,2х км пройдено в первый день
0,24*(х - 0,2х) = 0,24*0,8х=0,192х км пройдено во второй день
Составим и решим уравнение:
0,192х = 24
х = 24 : 0,192
х = 125
ответ: 125 км
Можно решить еще эту задачу, если тебе не понятны уравнения.
Весь путь примем за единицу, то есть целое:
20% = 20/100 = 1/5
24% = 24/100 = 6/25
Найдем оставшийся путь:
1) 1 - 1/5 = 5/5 - 1/5 = 4/5 км
Найдем часть пути, пройденного во второй день, равной 24 км:
2) 6/25*4/5 = 24/125 км
Найдем весь путь:
3) 24:24/125=24*125/24=125 км