
Только в нашей власти дать шанс внутреннему Я проявить себя, сбросить шелуху наслоений, обременяющих душу. Накапливаемое годами, наше эго не спешит сдавать позиций и глубоко ошибается тот, кто думает, что очистить душу, вернуть ей прежнюю красоту, легко и беспроблемно. Люди, ставшие на путь саморазвития, согласятся со мной, что этот процесс труден, но радостен.
Пошаговое объяснение:
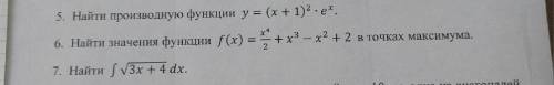
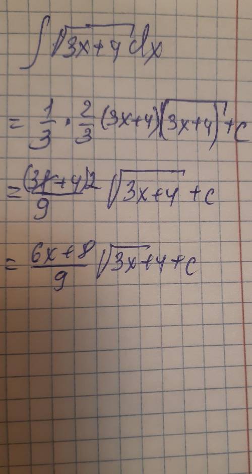
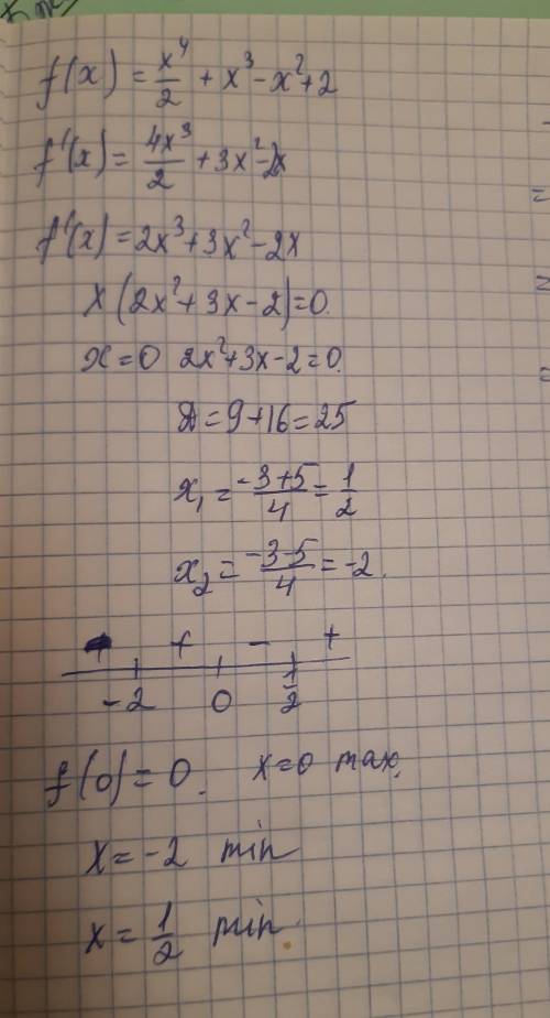
см фото,,,,,,,,,,,,,,,,,,,,,,,,,,,,,,,,