М
Молодежь
К
Компьютеры-и-электроника
Д
Дом-и-сад
С
Стиль-и-уход-за-собой
П
Праздники-и-традиции
Т
Транспорт
П
Путешествия
С
Семейная-жизнь
Ф
Философия-и-религия
Б
Без категории
М
Мир-работы
Х
Хобби-и-рукоделие
И
Искусство-и-развлечения
В
Взаимоотношения
З
Здоровье
К
Кулинария-и-гостеприимство
Ф
Финансы-и-бизнес
П
Питомцы-и-животные
О
Образование
О
Образование-и-коммуникации
kondrashkinacat21
kondrashkinacat21
17.09.2020 15:45 •  Математика

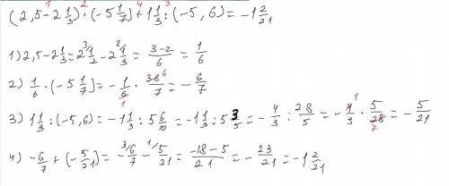
это сор
можно по действиям


это сор можно по действиям

👇
Ответ:
kot0ychenyy
kot0ychenyy
17.09.2020

на скрине

Пошаговое объяснение:


это сор можно по действиям
4,6(73 оценок)
Ответ:
elvinpirimov1
elvinpirimov1
17.09.2020

вот ответ, ничего сложного


это сор можно по действиям
4,4(87 оценок)
Открыть все ответы
Ответ:
olga638
olga638
17.09.2020
Хозяйственная деятельность человека является по своей сути целесообразной деятельностью, т.е. усилия, прилагаемые людьми, основаны на известном расчете, а их направление имеет характер удовлетворения человеческих потребностей. Хозяйственная деятельность человека влияет на его жизнедеятельность, ведь в процессе хозяйствования люди, с одной стороны, тратят энергию, ресурсы и т.п., а с другой – восполняют жизненные затраты. При таком положении дел экономическому субъекту (человеку в хозяйственной деятельности) приходится стремиться к рационализации собственных действий. Действовать рационально можно лишь в том случае, если будут правильно сопоставлены затраты и выгоды, что, впрочем не гарантирует отсутствия ошибок при принятии решений, которых требует хозяйственная деятельность человека. Хозяйственная деятельность человека в биосфере является очень сложным и запутанным комплексом, состоящим из явлений и процессов различного рода. Теоретической экономикой в данном аспекте выделяются четыре стадии, представленные собственно производством, распределением, обменом и потреблением. Производственно хозяйственная деятельность это процессы, в результате которых создаются материальные и духовные блага, которые необходимы для того чтобы человечество существовало и развивалось. Распределение является процессом  в течение которого определяются доли (количество, пропорции), согласно которым каждый субъект хозяйствования принимает участие в создании  произведенного продукта. Обмен представляет собой процесс перемещения материальных благ от одного субъекта хозяйствования к другому. Кроме того обмен является формой общественной связи между  производителями и потребителями. Потребление по своей сути является процессом использования производственных результатов с целью удовлетворения каких-либо потребностей. Каждая из стадий хозяйственной деятельности находится во взаимосвязи с остальными, и все они взаимодействуют между собой. Характеристика взаимосвязи стадий хозяйственной деятельности требует понимания того факта, что любое производство является общественным и непрерывным процессом. Постоянно  повторяясь, производство развивается – от простейших форм  до современного производства. Хотя эти типы производства кажутся совершенно несхожими,  общие моменты, которые  присущи производству как таковому, выделить всё же можно. Производство является  основой жизни и источником прогрессивного развития общества, в котором существуют люди, исходным пунктом хозяйственной деятельности. Потребление  является конечным пунктом, а распределение и обмен - сопутствующими стадиями, которые связывают производство и потреблением. При том, что производство – это первичная стадия, оно  служит лишь для потребления. Потреблением образуется конечная цель, а также мотивы производства, так как в потреблении продукция уничтожается, оно вправе диктовать производству новый заказ. В том случае, если потребность будет удовлетворена, она порождает новую потребность. Именно развитие потребностей служит движущей силой, вследствие воздействия которой развивается производство. При этом возникновение потребностей обуславливается именно производством – когда появляются новые продукты, наступает появление соответствующей потребности в этих продуктах и их потреблении. Как производство зависит от потребления, так распределение и обмен зависят от производства, так как для того чтобы что-либо распределять или обменивать, необходимо, чтобы это что-либо было произведено. При этом распределение и обмен не являются пассивными по отношению к производству, и оказывать на него обратное воздействие
4,7(38 оценок)
Ответ:
ololosha14
ololosha14
17.09.2020
Особенности византийского стиля (Архитектура) 
Внутреннее убранство собора пострадало во время крестовых походов и нашествия турков. После разгрома Константинополя он стал мечетью Айя-София. Вместо креста теперь на нем полумесяц, знак языческих богинь Гекаты и Дианы.Снаружи здания, дворцовые и культовые, получали всегда очень простую обработку: фасады, как правило, не штукатурились, а оформлялиськирпичом, чередовавшимся со слоями розового цементного раствора, а иногда (в поздние периоды) и с темноватым камнем-известняком. Используемая узорная кирпичная кладка придавала зданиям особую фактуру. Кирпич, иногда в сочетании с камнем, был основным строительным материалом, определявшим внешний облик многих византийских сооружений. Характерным архитектурным элементом были суженные арочные окна, которые часто сводились в группы по два-три окна, нередко разделявшихся колон-ками и объединенных наружна аркой над ними. Популярная тема византийской архитектуры — аркады на высоких колоннах с корзинообразными капителями. Такие аркады часто охватывали фасад на всем его протяжении.Происхождение византийского церковного здания следует искать в античности: римские базилики, служившие в древнем Риме судебными и торговыми зданиями, стали использоваться как церкви, а затем стали строиться христианские храмы-базилики. Византийские базилики отличаются простотой плана: к основному прямоугольному объему с восточной стороны примыкает полукруглая алтарная апсида, перекрытая полукуполом (конхой). которой предшествует поперечный нефтрансепт. Часто к западной стороне базилики примыкает прямоугольный двор, окруженный галереей с аркадами и имеющий в центре фонтан для омовения. Арочные перекрытия опираются не на антаблемент, как в античности, а на подушки— пульваны, лежащие на капителях и распределяющие равномерно нагрузку арок на капители колонн.Внутри помимо главного, более высокого, нефа имеются боковые нефы (их может быть и три, и пять). Позднее наибольшее распространение получил тип крестово- купольной церкви: квадратное в плане здание, в центральной части которого находилось четыре столба, поддерживающих купол. От центра расходились четыре сводчатых рукава, образуя равноконечный, так называемый греческий крест. Иногда базилика соединялась с крестово-купольной церковью.

Космическая символика предполагала восприятие храма как уменьшенной модели Вселенной, где своды и купола олицетворяли небо, пространство близ пола - землю, алтарь символизировал рай, а западная половина - ад.
В соответствии с этим располагались и росписи.

Храм как небесный корабль. Уподобление храма кораблю встре­чается в христианстве, начиная с «Апостольских постановлений» , где епископ именуется «небесного корабля кормчим» . Эта символиче­ская тема весьма развита в восточных культах. По этой линии четы­ре опоры купола генетически связаны с колесами «небесной колесни­цы» , с четырьмя ветрами, которые впоследствии были отождествлены с дыханием Духа Святого и соответственно с Евангелиями и еванге­листами.

Символика храма как небесного корабля порой получает букваль­ную реализацию в чудесах, где храмы не только являются плывущи­ми по небу, но и поднимаются в воздух вместе с находящимися там людьми: «...И се внезапу бысть чюдо страшно: от земля възятия цер­кви с сущими в нем и възыдше на въздух» .
Символика византийского собораТакие чудеса вполне совместимы с пространственным ощущением «вертикального взлета» , возникающем в крестово-купольном храме.
4,5(9 оценок)
Это интересно:
Новые ответы от MOGZ: Математика
logo
Вход Регистрация
Что ты хочешь узнать?
Спроси Mozg
Открыть лучший ответ