М
Молодежь
К
Компьютеры-и-электроника
Д
Дом-и-сад
С
Стиль-и-уход-за-собой
П
Праздники-и-традиции
Т
Транспорт
П
Путешествия
С
Семейная-жизнь
Ф
Философия-и-религия
Б
Без категории
М
Мир-работы
Х
Хобби-и-рукоделие
И
Искусство-и-развлечения
В
Взаимоотношения
З
Здоровье
К
Кулинария-и-гостеприимство
Ф
Финансы-и-бизнес
П
Питомцы-и-животные
О
Образование
О
Образование-и-коммуникации
huntress26
huntress26
09.03.2020 16:43 •  Математика

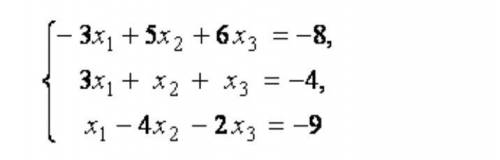
1 РЕШИТЬ ЗАДАЧИ 1.1. В первой урне находятся 3 шара белого и 4 шара черного цвета, во второй – 5 белого и 2 синего, в третьей – 6 белых и 3 красных. Из первой и второй урны наудачу извлекают по одному шару и кладут в третью. После этого из третьей извлекают один шар. Найти вероятность того, что он окажется
1.2. Два стрелка стреляют по мишени по одному разу Вероятность того, что оба стрелка попали в мишень, равна 0,54, а вероятность того, что оба промахнулись - 0,04
Какова вероятность попадания в мишень каждым стрелком при одном выстреле?
1.3. Изделие выпускаемое предприятием состоит из трех основных частей, количество бракованных среди которых составляет 8%, 10%,11%. Изделие признается непригодным и заменяется бесплатно , если хотя бы одна из его частей имеет брак Оценить затраты на замену изделия в случае брака. Стоимость одного изделия 500 рублей.

2 Вычислить определитель
A

2 2 -1 3
3 -1 -3 2
1 0 4 2
-2 1 2 4

3 ПОСТРОИТЬ ОБРАТНУЮ МАТРИЦУ

2 4 3
-1 1 0
7 1 4
А

4 РЕШИТЬ МАТРИЧНОЕ УРАВНЕНИЕ ГАУСС - (продолжение в фото)


1 РЕШИТЬ ЗАДАЧИ 1.1. В первой урне находятся 3 шара белого и 4 шара черного цвета, во второй – 5 бел

👇
Ответ:
yarik28032001
yarik28032001
09.03.2020

я только на фотографии задачу решила


1 РЕШИТЬ ЗАДАЧИ 1.1. В первой урне находятся 3 шара белого и 4 шара черного цвета, во второй – 5 бел
4,5(53 оценок)
Открыть все ответы
Ответ:
Queen102938
Queen102938
09.03.2020
Обозначим число белых гладиолусов за Х, тогда красных, раз их в три раза больше будет 3Х, значит, желтых, то что осталось, т.е. (19-Х-3Х)=(19-4Х).
Запишем результат сравнения в виде двойного неравенства: X<(19-4X)<3X. (Из условия)
Рассмотрим неравенства.
1. Х<(19-4Х); ⇒(4Х+Х)<19; 5Х<19; Х<19/5;  Х<3ц4/5 (1)
2. (19-4Х)<3X; ⇒19<(3Х+4Х); 19<7X ⇒ X>19/7; X>2ц4/7 (2)
Запишем, исходя из (1) и (2) двойное неравенство: 3ц4/5>X>2ц4/7. Т.к. количество гладиолусов каждого цвета - это целое число (про сломанные в условии не было сказано!), то ясно,что только число Х=3 может соответствовать   количеству белых гладиолусов. Тогда число красных: 3Х=3·3=9 (гладиолусов), а желтых: (19-3-9)=7(гладиолусов)
ответ: 3 белых гладиолуса, 9 красных, 7 желтых.Сравнение: 3<7<9.
4,6(97 оценок)
Ответ:
сяньчик
сяньчик
09.03.2020
 Менің сүйікті жануарларым.Менің атым (). Мен жануарлады өте жақсы көремін. Әр жануардың өзінің табиғи тамаша сипаты бар.   Ең бірінші менің сүйікті жануарым мысық болып келеді. Мысық уй жануары.Ол өте сүйкімді және таза жануар. Кейбір мысықтар барлық адамзаттық ауруларды өзіңе сіңіріп алады.  Екінші сүйікті жануарым кушік болады. Ал күшіктер өте сыпайы жануарлар деп ойлаймын. кушік адамный ең айнымас досы болып келеді.Оларда өте сүйкімді жануарлар.Тағы мен маймылдарды ұнатамын, олар өте күлкілі жануарлар.    Менің ойымша жаман жануарлар болмайды. Бәрі жақсы, бірақ олар өмір сүру үшін көп жаман істерге барады. Адамзатта өмір сүру үшін көп жаман аса қажеттілік нәрселерге барады
4,8(82 оценок)
Это интересно:
Новые ответы от MOGZ: Математика
logo
Вход Регистрация
Что ты хочешь узнать?
Спроси Mozg
Открыть лучший ответ