М
Молодежь
К
Компьютеры-и-электроника
Д
Дом-и-сад
С
Стиль-и-уход-за-собой
П
Праздники-и-традиции
Т
Транспорт
П
Путешествия
С
Семейная-жизнь
Ф
Философия-и-религия
Б
Без категории
М
Мир-работы
Х
Хобби-и-рукоделие
И
Искусство-и-развлечения
В
Взаимоотношения
З
Здоровье
К
Кулинария-и-гостеприимство
Ф
Финансы-и-бизнес
П
Питомцы-и-животные
О
Образование
О
Образование-и-коммуникации
mама
mама
19.11.2020 05:47 •  Математика

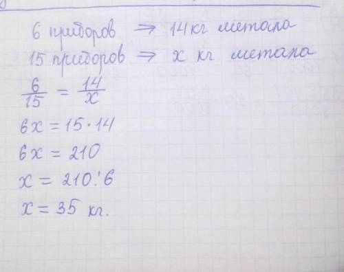
6:для изготовления 6 одинаковых приборов нужна 14 кг металла сколько меттала требуется для изготовления 15 таких приборов пошоговое

👇
Ответ:
igoreha3
igoreha3
19.11.2020

Пошаговое объяснение:

Вот тебе ответ............


6:для изготовления 6 одинаковых приборов нужна 14 кг металла сколько меттала требуется для изготовле
4,5(71 оценок)
Открыть все ответы
Ответ:
Sasno228666
Sasno228666
19.11.2020
1) 240 : 40 = 6 (час.) - столько занимает дорога из долины в горное селение.
2) 240 : 60 = 4 (час.) - столько занимает дорога обратно.
3) 6 - 4 = 2 (час.) - на столько больше занимает дорога в селение, чем обратно.


1) 240 : 40 = 6 (час.) - столько занимает дорога из долины в горное селение.
2) 60 : 40 = 1,5 (раза) - во столько раз скорость обратно больше скорости в селение.
3) 6 : 1,5 = 4 (час.) - столько занимает дорога обратно.
4) 6 - 4 = 2 (час.) - на столько больше занимает дорога в селение, чем обратно.

ответ: на 2 часа.
4,8(50 оценок)
Ответ:
qamqsmbfhfuc
qamqsmbfhfuc
19.11.2020
Прстите по дому не согу

Каждый школьник обязан:

• действовать на благо родной школы, заботиться о её чести, поддерживать её авторитет и традиции;

• строго соблюдать режим работы школы, посещать занятия в соответствии с расписанием, не опаздывать на уроки;

• добросовестно учиться, расширять свои знания, умения и навыки, систематически и вовремя выпол­нять домашние задания;

• в случае пропуска занятий предъявлять классному руководителю справку от врача или объяснительную записку от родителей;

• выполнять распоряжения и требования директора, администрации, учителей и других работников школы;

• относиться с уважением к работникам школы и другим ученикам младшим школьникам;

• предъявлять дневник по требованию учителя;

• записывать в дневник домашние задания по всем предметам;

• приносить на занятия все необходимые принадлежности: учебники, тетради, дневник, ручки, карандаши ит. п.;

• выглядеть чисто и опрятно, соблюдать требования школьной и личной гигиены, заботиться о соответствии своей одежды и внешнего вида строгому деловому стилю;

• заботиться о собственном здоровье и безопасности, о здоровье и безопасности других учащихся, соблюдать требования техники безопасности;

• обнаружив в школе или на пришкольном участке брошенную сумку (пакет, свёрток, коробку) или заметив незнакомого подозрительного человека, немедленно сообщить об этом учителю или другому работнику школы;

• беречь имущество школы, соблюдать чистоту и порядок в здании школы и на её территории;

• принимать участие в мероприятиях по благоустройству школы и её территории

4,5(41 оценок)
Новые ответы от MOGZ: Математика
logo
Вход Регистрация
Что ты хочешь узнать?
Спроси Mozg
Открыть лучший ответ